Foram encontradas 320 questões.
Pretende-se usar um modelo de regressão linear
para ajustar n pares de valores observados
. Supõe-se que os erros
tenham média 0, sejam normalmente distribuídos, todos com mesma variância, e sejam não correlacionados. Se a e b são as estimativas de mínimos quadrados de
e
, respectivamente, avalie as afirmativas a seguir:
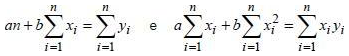
I. As estimativas de mínimos quadrados de ?? e ?? são os valores de a e b que resolvem as equações normais
II. a e b são estimadores não viesados de
e de
, respectivamente.
III. O coeficiente de determinação, R², mede a porcentagem da variância total dos valores y's que é explicada pela regressão e, desse modo, quanto maior o valor do coeficiente de determinação, melhor é o ajuste do modelo.
Assinale:
I. As estimativas de mínimos quadrados de ?? e ?? são os valores de a e b que resolvem as equações normais

II. a e b são estimadores não viesados de
III. O coeficiente de determinação, R², mede a porcentagem da variância total dos valores y's que é explicada pela regressão e, desse modo, quanto maior o valor do coeficiente de determinação, melhor é o ajuste do modelo.
Assinale:
Provas
Questão presente nas seguintes provas
Os dados a seguir são as quantidades de empregados de cinco pequenas empresas: 6, 5, 8, 5, 6. A variância da quantidade de empregados dessas cinco empresas é igual a:
Provas
Questão presente nas seguintes provas
Se no ajuste de uma reta de regressão linear simples de uma variável Y em uma variável X o coeficiente de determinação observado foi igual a 0,64, então o módulo do coeficiente de correlação amostral entre X e Y é igual a:
Provas
Questão presente nas seguintes provas
Uma variável aleatória discreta X tem cinco valores possíveis, -1, 0, 1, 2 e 3, com probabilidades respectivas iguais a 0,1, 03, 02, 03 e 0,1.
Se Y = 4 - 2X então a variância de Y é igual a:
Se Y = 4 - 2X então a variância de Y é igual a:
Provas
Questão presente nas seguintes provas
Em relação à distribuição normal, assinale a afirmativa incorreta.
Provas
Questão presente nas seguintes provas
Uma variável aleatória contínua X é uniformemente distribuída no intervalo real [0 , 50]. A probabilidade de que X seja maior do que 20 é igual a:
Provas
Questão presente nas seguintes provas
Com relação à contribuição de melhoria, assinale a afirmativa que contém erro, à luz das disposições da Lei nº 400, de 22.12.97.
Provas
Questão presente nas seguintes provas
Com relação ao processo administrativo fiscal, responda sim ou não às seguintes perguntas:
I. Cabe à autoridade julgadora mandar riscar as expressões injuriosas contidas nos escritos apresentados no processo, apenas se requerido pelo ofendido? (_____)
II. A intimação pode efetivar-se por via postal, telegráfica, ou por qualquer outro meio ou via, com prova de recebimento, no domicílio eleito pelo sujeito passivo? (_____)
III. O recurso voluntário ao Conselho Estadual de Recursos Fiscais tem efeito suspensivo, mesmo se apresentado após o prazo legal? (_____)
IV. O auto de infração pode ser lavrado na sede da repartição a que se vincula a autoridade fiscal? (_____)
V. O julgamento do processo compete, em primeira instância, à Junta de Julgamento de Processo Administrativo Fiscal - JUPAF? (_____)
Assinale a alternativa que indique a ordem correta, de cima para baixo, do preenchimento das lacunas.
I. Cabe à autoridade julgadora mandar riscar as expressões injuriosas contidas nos escritos apresentados no processo, apenas se requerido pelo ofendido? (_____)
II. A intimação pode efetivar-se por via postal, telegráfica, ou por qualquer outro meio ou via, com prova de recebimento, no domicílio eleito pelo sujeito passivo? (_____)
III. O recurso voluntário ao Conselho Estadual de Recursos Fiscais tem efeito suspensivo, mesmo se apresentado após o prazo legal? (_____)
IV. O auto de infração pode ser lavrado na sede da repartição a que se vincula a autoridade fiscal? (_____)
V. O julgamento do processo compete, em primeira instância, à Junta de Julgamento de Processo Administrativo Fiscal - JUPAF? (_____)
Assinale a alternativa que indique a ordem correta, de cima para baixo, do preenchimento das lacunas.
Provas
Questão presente nas seguintes provas
De acordo com o Decreto 0027/05, assinale a alternativa que indique a unidade de assessoramento da Secretaria da Receita Estadual do Amapá:
Provas
Questão presente nas seguintes provas
À autoridade fiscal que for alvo de embaraço ou desacato no exercício de sua função, é assegurado o direito de requisitar o concurso da força pública:
Provas
Questão presente nas seguintes provas
Cadernos
Caderno Container