Foram encontradas 161 questões.
Seja X o peso em gramas da produção de uma variedade de soja. Sabe-se que o logaritmo neperiano de X - ln(X) tem distribuição normal com média 0,5 e variância 1. Seja F(x) a função de distribuição da normal padrão e b a constante tal que F(b)=60%.
Assinale a opção que corresponde ao sexto decil de X, i.e, ao valor da constante q tal que P(X < q) = 60%.
Provas
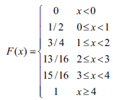
A variável aleatória X tem função de distribuição de probabilidades dada por

Assinale a opção que dá o valor da probabilidade de que X assuma o valor 3.
Provas
Seja X uma variável aleatória com valor esperado !$ \mu !$ e desvio padrão !$ \sigma !$ >0. Pode-se afirmar que
Provas
Assinale a opção que apresenta corretamente as características de um desses modelos.
Provas
Uma das formas de visualizar as organizações é através da teoria de sistemas, cuja aplicação se estende à administração de recursos humanos.
Marque com V a assertiva verdadeira e com F a falsa, assinalando em seguida a opção correspondente.
( ) A cultura, o clima da organização e a motivação são fatores externos que afetam as políticas do sistema de administração de recursos humanos.
( ) Um dos produtos buscados pela administração de recursos humanos é a otimização das competências e do desempenho dos colaboradores, de modo a atingir a efetividade organizacional.
( ) O banco de dados e os sistemas de informações de recursos humanos são elementos do subsistema de suprimento, responsável pela gerência do desempenho da organização.
( ) O subsistema de manutenção de recursos humanos visa atrair os melhores profissionais do mercado para o processo de seleção da organização.
( ) O crescimento da economia, o sistema educacional e o mercado de trabalho são fatores externos que afetam as políticas do sistema de recursos humanos de uma organização.
Provas
Prêmio => R$ 1.800,00
Resseguro Cedido => R$ 200,00
Cosseguro Cedido => R$ 400,00
com vigência de um ano com início em 01/06/01 e pagamento a vista.
Provas

e, ainda, considerando:
- o saldo das despesas antecipadas de R$ 200 mil,
- sua participação em Congêneres no montante de R$ 2.800 mil,
- o montante de lucros não realizados da carteira de ações de R$ 50 mil,
- despesas administrativas do exercício acumuladas em R$ 4.000 mil,
terá como valor máximo do limite de retenção:
Provas
Um Segurado adquire um seguro de automóvel nas seguintes condições: Valor do Prêmio = R$ 2.400,00, com vigência de 01/01 a 31/12/01, pagamento em 4 parcelas sem juros de R$ 600,00 nas seguintes datas: 01/01/01, 01/02/01, 01/03/01 e 01/04/01.
Indique, nas opções abaixo, o período de cobertura a que o Segurado tem direito a partir do início da vigência sabendo que ele só pagou a primeira prestação vencida em 01/01/01.
Provas
Como instrumentos de ajuste orçamentário, os créditos adicionais são usualmente empregados para corrigir distorções que surgem durante a execução do orçamento.
Acerca de um crédito suplementar de R$ 100.000,00, autorizado e aberto em 15/10/2001, com saldo remanescente de 40% do valor original ao final daquele exercício, pode-se afirmar, corretamente, que
Provas
De acordo com as normas brasileiras de auditoria independente, o procedimento de revisão analítica vem a ser a
Provas
Caderno Container