Foram encontradas 1.899 questões.
Acerca de tiristores, julgue o item subsequente.
A figura abaixo ilustra o símbolo de um transistor de unijunção programável (PUT).

Provas
Questão presente nas seguintes provas
Acerca de tiristores, julgue o item subsequente.
A figura abaixo representa a característica corrente I versus tensão V de um tiristor SCR.

Provas
Questão presente nas seguintes provas
Julgue o item subsecutivo, referente a sistemas de controle e automação predial.
CeBus é um protocolo para automação residencial que permite, entre outras funções, definir a troca de informações entre os diferentes equipamentos por meio de PLC (power line communications).
Provas
Questão presente nas seguintes provas
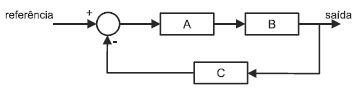
Julgue o item subsecutivo, referente a sistemas de controle e automação predial.
Considerando o sistema de controle em malha fechada esquematizado na figura abaixo, é correto afirmar que o controlador, o processo e o dispositivo de medição são identificados por A, B e C, respectivamente.

Provas
Questão presente nas seguintes provas
Julgue o item subsecutivo, referente a sistemas de controle e automação predial.
ZigBee é uma tecnologia de transmissão sem fio de curto alcance (até 100 m), amplamente usada em automação industrial, e que proporciona taxas de transmissão de dados superiores a um megabit por segundo.
Provas
Questão presente nas seguintes provas
Acerca de transformador ideal e instalações elétricas prediais, julgue o item.
Na ausência de uma instalação adequada de fio terra, pode-se, para garantir total segurança, conectar o fio terra do aparelho ao condutor neutro da tomada.
Provas
Questão presente nas seguintes provas
- Transformadores e Máquinas ElétricasMáquinas EstáticasTransformadores Trifásicos e Autotransformadores
Acerca de transformador ideal e instalações elétricas prediais, julgue o item.
Em geral, o rendimento de um autotransformador monofásico é menor que o de um transformador convencional monofásico.
Provas
Questão presente nas seguintes provas
Acerca de transformador ideal e instalações elétricas prediais, julgue o item.
O circuito entre os terminais de um contato normalmente fechado (NF) de um relé fica fechado, quando a bobina do relé associada a esse contato for percorrida por uma corrente elétrica.
Provas
Questão presente nas seguintes provas
Acerca de transformador ideal e instalações elétricas prediais, julgue o item.
Em instalações elétricas de baixa tensão, é permitido o uso de tomadas não aterradas apenas para equipamentos com corrente inferior a 1 A.
Provas
Questão presente nas seguintes provas
Acerca de transformador ideal e instalações elétricas prediais, julgue o item.
Em instalações elétricas de baixa tensão, circuitos para iluminação e para tomadas devem ser distintos.
Provas
Questão presente nas seguintes provas
Cadernos
Caderno Container