Magna Concursos

Foram encontradas 299 questões.

125564 Ano: 2008
Disciplina: Legislação Estadual e Distrital
Banca: UFCG
Orgão: TJ-PB
Provas:
São penalidades disciplinares, EXCETO:
 

Provas

Questão presente nas seguintes provas
125563 Ano: 2008
Disciplina: Legislação Estadual e Distrital
Banca: UFCG
Orgão: TJ-PB
Provas:
Preencha as lacunas com a opção correta:

As penalidades de advertência, censura e de suspensão terão seus registros cancelados, após o decurso de ____, ____ e ____ anos de efetivo exercício, respectivamente, se o servidor não houver, nesse período, praticado nova infração disciplinar.
 

Provas

Questão presente nas seguintes provas
125562 Ano: 2008
Disciplina: Legislação Estadual e Distrital
Banca: UFCG
Orgão: TJ-PB
Provas:
Aos servidores da Justiça são vedados, quando no exercício do cargo:
 

Provas

Questão presente nas seguintes provas
125561 Ano: 2008
Disciplina: Legislação Estadual e Distrital
Banca: UFCG
Orgão: TJ-PB
Provas:
Assinale a alternativa correta, tomando por base a legislação estadual e a do Tribunal de Justiça da Paraíba:
 

Provas

Questão presente nas seguintes provas
125560 Ano: 2008
Disciplina: Legislação Estadual e Distrital
Banca: UFCG
Orgão: TJ-PB
Provas:
Constituem proibições em relação ao servidor do Tribunal de Justiça da Paraíba, EXCETO:
 

Provas

Questão presente nas seguintes provas
125559 Ano: 2008
Disciplina: Legislação Estadual e Distrital
Banca: UFCG
Orgão: TJ-PB
Provas:
São penalidades disciplinares dos servidores do Tribunal de Justiça da Paraíba, EXCETO:
 

Provas

Questão presente nas seguintes provas
125558 Ano: 2008
Disciplina: Legislação Estadual e Distrital
Banca: UFCG
Orgão: TJ-PB
Provas:
Analise as assertivas seguintes, em referência ao servidor do Tribunal de Justiça do Estado da Paraíba:

I – Insubordinação em serviço é motivo para demissão.

II – A ofensa física praticada por servidor só é motivo de demissão se o agredido também for servidor, não se aplicando quando o agredido for particular.

III – O ato de demissão é aplicado pelo Presidente do Tribunal de Justiça da Paraíba, mesmo que o servidor exerça as funções em uma Comarca do interior.

Está(ão) correta(s):
 

Provas

Questão presente nas seguintes provas
125557 Ano: 2008
Disciplina: Legislação Estadual e Distrital
Banca: UFCG
Orgão: TJ-PB
Provas:
Assinale a alternativa correta, concernente ao servidor do Tribunal de Justiça do Estado da Paraíba:
 

Provas

Questão presente nas seguintes provas
125555 Ano: 2008
Disciplina: Matemática
Banca: UFCG
Orgão: TJ-PB
Provas:
Determine, no conjunto dos números reais, o intervalo que corresponde às so- luções simultâneas das inequações enunciado 125555-1.
 

Provas

Questão presente nas seguintes provas
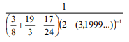
125554 Ano: 2008
Disciplina: Matemática
Banca: UFCG
Orgão: TJ-PB
Provas:

O valor da expressão enunciado 125554-1é:

 

Provas

Questão presente nas seguintes provas