Foram encontradas 540 questões.
Deseja-se determinar a área da seção transversal de uma
barra sujeita a um esforço axial compressivo de 800 N.
Para isso, foi selecionada uma madeira cuja resistência à
compressão axial é 50 MPa.
Adotando-se um fator de segurança de 2,5, o menor valor da área de seção transversal, expressa em mm2 , que atende a essa condição é
Adotando-se um fator de segurança de 2,5, o menor valor da área de seção transversal, expressa em mm2 , que atende a essa condição é
Provas
Questão presente nas seguintes provas
Um tirante AB e uma barra BC suportam uma carga P,
conforme representado na Figura abaixo.
Considere que a deformação específica longitudinal de cada corpo é definida por εL = ∆L/L, e a deformação específica transversal por εt = −υ∆L/L, onde υ é o coeficiente de Poisson, e L, o comprimento do corpo.
As deformações εL do tirante, εL da barra e εt da barra serão, respectivamente,
Considere que a deformação específica longitudinal de cada corpo é definida por εL = ∆L/L, e a deformação específica transversal por εt = −υ∆L/L, onde υ é o coeficiente de Poisson, e L, o comprimento do corpo.
As deformações εL do tirante, εL da barra e εt da barra serão, respectivamente,
Provas
Questão presente nas seguintes provas
- Planejamento e Informatização na EngenhariaProcessos, Softwares e Automatização
- Planejamento e Informatização na EngenhariaProcessos e Planejamento de Produção
Em visita técnica a um fornecedor de peças, um técnico
identificou que a máquina mais moderna do setor de caldeiraria desse fornecedor era uma calandra de três rolos
com um sistema computadorizado de controle.
A finalidade de uma calandra é
A finalidade de uma calandra é
Provas
Questão presente nas seguintes provas
Durante um projeto de modernização de uma seção de
uma planta de processo petroquímico, um técnico projetista de tubulação se deparou com um diagrama, conforme ilustrado na Figura.
O diagrama apresentado na Figura representa um circuito
O diagrama apresentado na Figura representa um circuito
Provas
Questão presente nas seguintes provas
- Materiais de Construção MecânicaEnsaios Mecânicos e Tratamentos Térmicos
- Planejamento e Informatização na EngenhariaProcessos, Softwares e Automatização
- Planejamento e Informatização na EngenhariaProcessos e Planejamento de Produção
No decorrer de um projeto de tubulação industrial, um projetista precisa projetar um sistema de comando remoto de
uma válvula de processo que requer uma grande força
para ser movimentada, mas não necessita de abertura e
fechamento rápidos. O engenheiro responsável pelo processo não autorizou a utilização de atuadores elétricos,
pois ele teve receio de utilizar tais atuadores em uma área
classificada. Sendo assim, o projetista teve de escolher
entre o uso de um atuador hidráulico ou de um atuador
pneumático para o projeto de comando remoto.
Considerando-se que já existe infraestrutura pneumática e hidráulica próxima ao local de instalação do atuador, a melhor escolha do tipo de atuador para essa aplicação é
Considerando-se que já existe infraestrutura pneumática e hidráulica próxima ao local de instalação do atuador, a melhor escolha do tipo de atuador para essa aplicação é
Provas
Questão presente nas seguintes provas
Em um projeto de modernização de um parque industrial,
foram adquiridos dois novos compressores, uma bomba
hidráulica, um trocador de calor e uma nova turbina para
o turbo-gerador da fábrica.
Sobre os equipamentos adquiridos, o técnico envolvido
no projeto fez as seguintes afirmações:
I – A bomba centrífuga é responsável por gerar pressão em líquidos, funcionando como uma fonte de energia para circuitos hidráulicos.
II – O compressor de parafuso rotativo converte a energia cinética de fluidos em energia mecânica rotacional.
III – O radiador reduz a temperatura de um fluido, transferindo a energia térmica desse para outro fluido.
IV – A turbina é responsável por gerar pressão em um circuito pneumático, funcionando como uma fonte de energia.
Das afirmações apontadas pelo técnico, são verdadeiras APENAS as de nº(s)
I – A bomba centrífuga é responsável por gerar pressão em líquidos, funcionando como uma fonte de energia para circuitos hidráulicos.
II – O compressor de parafuso rotativo converte a energia cinética de fluidos em energia mecânica rotacional.
III – O radiador reduz a temperatura de um fluido, transferindo a energia térmica desse para outro fluido.
IV – A turbina é responsável por gerar pressão em um circuito pneumático, funcionando como uma fonte de energia.
Das afirmações apontadas pelo técnico, são verdadeiras APENAS as de nº(s)
Provas
Questão presente nas seguintes provas
Contratado por uma indústria para analisar um processo
de fabricação de um tipo de peça em alumínio, um técnico constatou que a indústria compra um bloco maciço de
alumínio, depois o corta em pedaços em uma máquina
de corte a plasma e, por fim, leva os pedaços que foram
cortados para uma fresadora CNC para fabricar a peça
final. O técnico percebeu que grande parte do alumínio é
desperdiçado no processo realizado na fresadora CNC;
sendo assim, ele sugeriu uma mudança no processo de
fabricação, com o intuito de minimizar o desperdício de
material. Para tanto, solicitou que primeiramente fosse realizado um processo de shell-molding para a confecção
bruta da peça, e, posteriormente, que o acabamento e os
últimos detalhes da peça fossem feitos na fresadora CNC.
Seguindo a sequência dos processos sugeridos pelo técnico, tais processos são classificados, respectivamente,
como
Provas
Questão presente nas seguintes provas
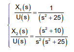
Considere as funções de transferência de um sistema em
malha aberta com duas saídas e uma entrada:

Esse sistema possui um par de

Esse sistema possui um par de
Provas
Questão presente nas seguintes provas
A Curva PF é essencial para o planejamento da manutenção, que é baseado na confiabilidade, de acordo com os padrões
da RCM

Na Figura acima, as manutenções corretiva, preventiva e preditiva estão associadas, respectivamente, aos intervalos de tempo

Na Figura acima, as manutenções corretiva, preventiva e preditiva estão associadas, respectivamente, aos intervalos de tempo
Provas
Questão presente nas seguintes provas
Considere um sistema integrador puro em malha aberta
e um controlador do tipo PI, com zero em -1, e a estrutura de malha fechada com realimentação unitária negativa composta por esses dois componentes no seu ramo
direto.
Aumentando-se o ganho proporcional do PI, o amortecimento da malha fechada
Aumentando-se o ganho proporcional do PI, o amortecimento da malha fechada
Provas
Questão presente nas seguintes provas
Cadernos
Caderno Container