Foram encontradas 364 questões.
Uma loja vende um eletrodoméstico que custa R$6.300,00 à vista e pode ser pago em 2 prestações mensais iguais, com a primeira prestação paga 1 mês após a compra. Se forem cobrados juros compostos de 10% ao mês sobre o saldo devedor, o valor da prestação será igual a
Provas
Questão presente nas seguintes provas
No Microsoft Word 2013, existem várias formas de se formatar um parágrafo com recuo. A opção que NÃO representa uma dessas formas é
Provas
Questão presente nas seguintes provas
- Química OrgânicaFunções Nitrogenadas: Amina, Amida, Nitrila, Isonitrila e Nitro Composto
- Química OrgânicaFunções Oxigenadas: Álcool, Fenol e Enol
- Química OrgânicaFunções Oxigenadas: Cetona, Aldeído, Éter, Éster, Ácido Carboxílico etc.
O paracetamol é um fármaco presente em medicamentos analgésicos e anti-inflamatórios,
cuja fórmula está representada a seguir.
Os grupos funcionais presentes no paracetamol são:
Os grupos funcionais presentes no paracetamol são:
Provas
Questão presente nas seguintes provas
- Normas Contábeis
- Legislação
- Contabilidade AvançadaInvestimentos
- Contabilidade AvançadaParticipações Societárias
Analise as afirmações a seguir com base no que prevê a NBC TG 15 – COMBINAÇÃO DE NEGÓCIOS.
I. A NBC TG 15 não se aplica à formação de empreendimentos controlados em conjunto (joint ventures).
II. O adquirente deve registrar os ativos identificáveis adquiridos e os passivos assumidos pelos respectivos valores contábeis da data da aquisição.
III. As incorporações e as fusões realizadas entre partes independentes são exemplos de combinação de negócios.
É CORRETO o que se afirma em:
I. A NBC TG 15 não se aplica à formação de empreendimentos controlados em conjunto (joint ventures).
II. O adquirente deve registrar os ativos identificáveis adquiridos e os passivos assumidos pelos respectivos valores contábeis da data da aquisição.
III. As incorporações e as fusões realizadas entre partes independentes são exemplos de combinação de negócios.
É CORRETO o que se afirma em:
Provas
Questão presente nas seguintes provas
Foi realizado no laboratório um ensaio de resistência à tração por compressão diametral (Norma ABNT NBR 7222). O corpo de prova cilíndrico utilizado tem as dimensões médias de 9,95 cm (diâmetro) x 19,7 cm (altura). A carga de ruptura ou carga máxima obtida no ensaio do corpo de prova foi de 1700 Kgf/cm2 . A resistência à tração por compressão diametral do corpo de prova é de
No cálculo, arredonde o resultado para uma casa decimal e adote 1 Mpa = 10 Kgf/cm2 .
No cálculo, arredonde o resultado para uma casa decimal e adote 1 Mpa = 10 Kgf/cm2 .
Provas
Questão presente nas seguintes provas
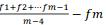
De acordo com a Norma ABNT NBR 12655:2006, consideram-se dois tipos de controle de resistência. No caso do controle estatístico do concreto por amostragem parcial, a forma de cálculo do valor estimado da resistência característica, fckest, para lotes de concreto com número de exemplares 6 ≤ n < 20 , em ordem crescente, é
Considere m = n/2 e f1, f2, fm-1 os valores das resistências dos exemplares
Considere m = n/2 e f1, f2, fm-1 os valores das resistências dos exemplares
Provas
Questão presente nas seguintes provas
Durante o funcionamento de um transformador, o enrolamento primário está conectado a
uma fonte de energia, de maneira que, pela carga, ligada ao enrolamento secundário desse transformador,
não circula corrente elétrica. Para verificar o problema, um técnico realizou o seguinte teste: desconectou a
carga e a fonte do transformador e ligou um ohmímetro ao seu enrolamento secundário. Tal ohmímetro
indicou uma resistência nula, o que levou o técnico a diagnosticar que o(s) enrolamento(s):
Provas
Questão presente nas seguintes provas
Conta é a expressão qualitativa e quantitativa de fatos de mesma natureza, evidenciando a composição, a variação e o estado do patrimônio, bem como de bens, direitos, obrigações e situações nele não compreendidas, mas que, direta ou indiretamente, possam vir a afetá-lo. Na administração pública, as contas são agrupadas segundo suas funções, com vistas a possibilitar as seguintes condições, EXCETO:
Provas
Questão presente nas seguintes provas
Considerando a Lei nº 4.320/1964, a Lei Complementar nº 101/2000 e as Normas Brasileiras de Contabilidade Aplicadas ao Setor Público, analise as afirmações abaixo.
I. O Balanço Orçamentário demonstra a receita e a despesa orçamentárias, bem como os recebimentos e os pagamentos de natureza extraorçamentária, conjugados com os saldos em espécie provenientes do exercício anterior e os saldos que se transferem para o exercício seguinte.
II. O Balanço Patrimonial evidencia, qualitativa e quantitativamente, a situação patrimonial da entidade pública, por meio de contas representativas do patrimônio público, além das contas de compensação.
III. O Balanço Financeiro demonstra as receitas e despesas previstas em confronto com as realizadas.
É CORRETO o que se afirma em:
I. O Balanço Orçamentário demonstra a receita e a despesa orçamentárias, bem como os recebimentos e os pagamentos de natureza extraorçamentária, conjugados com os saldos em espécie provenientes do exercício anterior e os saldos que se transferem para o exercício seguinte.
II. O Balanço Patrimonial evidencia, qualitativa e quantitativamente, a situação patrimonial da entidade pública, por meio de contas representativas do patrimônio público, além das contas de compensação.
III. O Balanço Financeiro demonstra as receitas e despesas previstas em confronto com as realizadas.
É CORRETO o que se afirma em:
Provas
Questão presente nas seguintes provas
No que se refere ao Patrimônio Público, é CORRETO afirmar:
Provas
Questão presente nas seguintes provas
Cadernos
Caderno Container