Magna Concursos

Foram encontradas 50 questões.

2491207 Ano: 2014
Disciplina: Engenharia Civil
Banca: UFGD
Orgão: UFGD
Provas:

Os trabalhadores da construção civil apresentam necessidades similares às de funcionários de qualquer outra área industrial. No que diz respeito às políticas de gestão de recursos humanos e aumento da capacidade produtiva de funcionários, a Teoria de Maslow tem sido bastante utilizada para avaliar a motivação de funcionários. Essa teoria postula que o ser humano possui necessidades em níveis hierárquicos, tais como:

I. Necessidades fisiológicas.

II. Necessidades de segurança.

III. Necessidades sociais.

IV. Necessidades de estima.

V. Necessidades de autorrealização.

Está correto apenas o que se afirma em:

 

Provas

Questão presente nas seguintes provas
2491206 Ano: 2014
Disciplina: Engenharia Civil
Banca: UFGD
Orgão: UFGD
Provas:

O AutoCad é um programa CADD (Computer Aided Draft and Designer – Desenho e Projeto Auxiliado por Computador – ou, simplesmente, CAD) bastante utilizado nas áreas de engenharia e arquitetura. Associe os comandos relacionados abaixo às suas respectivas funções.

COMANDO FUNÇÃO (O QUE FAZ)

I – ALIGN ( ) Seleciona o ponto médio de uma linha.
II – OFFSET ( ) Cria múltiplas cópias de uma ou mais entidades.
III – ARRAY ( ) Cria cantos arredondados em linhas e polilinhas.
IV – FILLET ( ) Cria cópias paralelas de linhas, polilinhas e splines.
V – MIDPOINT ( ) Alinha uma ou mais entidades em relação à outra.

Assinale a alternativa que exprime a associação correta:

 

Provas

Questão presente nas seguintes provas
2491205 Ano: 2014
Disciplina: Direito Ambiental
Banca: UFGD
Orgão: UFGD

Na execução do projeto gerencial do canteiro de obras, o resíduo da construção gerado deve obedecer à política nacional de gerenciamento do resíduo da construção civil. O Conselho Nacional do Meio Ambiente(CONAMA) é o órgão consultivo e deliberativo do Sistema Nacional do Meio Ambiente(SISNAMA), instituído pela Lei nº 6.938/81, que dispõe sobre a Política Nacional do Meio Ambiente, regulamentada pelo Decreto nº 99.274/90. Está disposto na CONAMA nº 307/2002 reformulada em 2012, resíduos reutilizáveis ou recicláveis como agregados. Sobre o tema abordado, pode-se afirmar que:

I. resíduos da construção civil são os provenientes de construções, reformas, reparos e demolições de obras.

II. área de transbordo e triagem de resíduos (ATT) é a área destinada ao recebimento de resíduos da construção civil e dos resíduos volumosos, para triagem, armazenamento temporário dos materiais segregados, eventual transformação e posterior remoção para destinação adequada, sem causar danos à saúde pública e ao meio ambiente.

III. reservação de resíduos é o processo de disposição segregada de resíduos triados para reutilização ou reciclagem futura.

IV. controle de transporte de resíduos (CTR) é o documento emitido pelo transportador de resíduos, que fornece informações sobre: gerador, origem, quantidade e descrição dos resíduos e seu destino.

Está correto apenas o que se afirma em:

 

Provas

Questão presente nas seguintes provas
2491204 Ano: 2014
Disciplina: Segurança e Saúde no Trabalho (SST)
Banca: UFGD
Orgão: UFGD
Provas:

A referência de qualidade dos EPIs está definida na Norma Regulamentadora NR-6, relativa à Segurança e Medicina do Trabalho (Lei nº 3.214, de 1978). Todo EPI deve possuir o CA (Certificado de Aprovação), garantia de que o equipamento foi testado e certificado para tal finalidade. Das afirmações abaixo, aquela que não consta como parte das exigências dessa norma é:

 

Provas

Questão presente nas seguintes provas
2491203 Ano: 2014
Disciplina: Engenharia Civil
Banca: UFGD
Orgão: UFGD
Provas:

Quanto ao recebimento dos recursos materiais, este processo tem início quando os materiais chegam nas dependências da empresa. Quanto aos procedimentos para o ato de recebimento dos materiais, deve-se:

 

Provas

Questão presente nas seguintes provas
2491202 Ano: 2014
Disciplina: Engenharia Civil
Banca: UFGD
Orgão: UFGD
Provas:

A curva ABC tornou-se um importante instrumento de controle e gerenciamento, possibilitando a divisão dos itens em categorias e em função da representatividade de cada um em relação aos investimentos totais. Considerando a tabela abaixo, é correto:

Tabela

Itens

Quantidade

Preço Unitário

A 5 2000,00
B 10 200,00
C 400 2,00
D 100 50,00
E 500 8,00
F 400 200,00
G 40 5,00
H 50 20,00
I 500 10,00
J 300 150,00
K 20 40,00
L 2000 0,60
 

Provas

Questão presente nas seguintes provas
2491201 Ano: 2014
Disciplina: Engenharia Civil
Banca: UFGD
Orgão: UFGD
Provas:

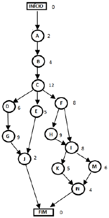
As técnicas denominadas PERT (Program Evaluation and Review Technique) e CPM (Critical Path Method) foram independentemente desenvolvidas para o Planejamento e Controle de Projetos em torno de 1950, sendo utilizadas nos projetos de construção civil. Um exemplo clássico de aplicação de PERT/CPM é o planejamento e o gerenciamento da construção civil. O gráfico abaixo representa as fases de execução de um dado projeto em semanas. O caminho crítico da rede abaixo é:

Enunciado 2955232-1

 

Provas

Questão presente nas seguintes provas
2491200 Ano: 2014
Disciplina: Engenharia Civil
Banca: UFGD
Orgão: UFGD
Provas:

A matriz SWOT (strengths, weaknesses, opportunities, threats) também chamada de matriz FOFA (forças, oportunidades, fraquezas, ameaças) resume os principais aspectos analisados nos ambientes externo e interno de uma organização. Quanto à identificação de janelas estratégicas na elaboração da Matriz SWOT, em relação aos ambientes externo e interno, temos, respectivamente:

 

Provas

Questão presente nas seguintes provas
2491199 Ano: 2014
Disciplina: Segurança e Saúde no Trabalho (SST)
Banca: UFGD
Orgão: UFGD
Provas:

No gerenciamento de segurança, do trabalho a seleção de Equipamento de Proteção Individual (EPI) deve ser feita a partir do levantamento de riscos, apontado no PPRA (Programa de Prevenção de Riscos Ambientais), que deve ser desenvolvido por um técnico ou engenheiro de segurança do trabalho. Considerando as alternativas abaixo sobre o gerenciamento da obra, qual atividade não corresponde a um procedimento correto?

 

Provas

Questão presente nas seguintes provas
2491198 Ano: 2014
Disciplina: Engenharia Civil
Banca: UFGD
Orgão: UFGD
Provas:

Considere as curvas de nível representadas na figura abaixo sem escala. Considerando que a distância entre os pontos A e B é de 500 metros, pode-se afirmar que a inclinação do terreno nesse intervalo é de:

Enunciado 2955229-1

 

Provas

Questão presente nas seguintes provas