Foram encontradas 670 questões.
Os dados abaixo fazem parte de um levantamento topográfico de um perfil, realizado pelo método do Nivelamento Geométrico.
| Ponto Visado | Visada [metros] | Cota [metros] | |
| Ré | Vante | ||
| RNL | 1,000 | 1.000,00 | |
| P1 | 2,000 | ||
| P2 | 2,500 | ||
| P3 | 0,500 | ||
| P3 | 3,000 | ||
| P4 | 2,000 | ||
| P5 | 3,000 | ||
Assinale a alternativa que apresenta as cotas CORRETAS dos pontos.
Provas
Questão presente nas seguintes provas
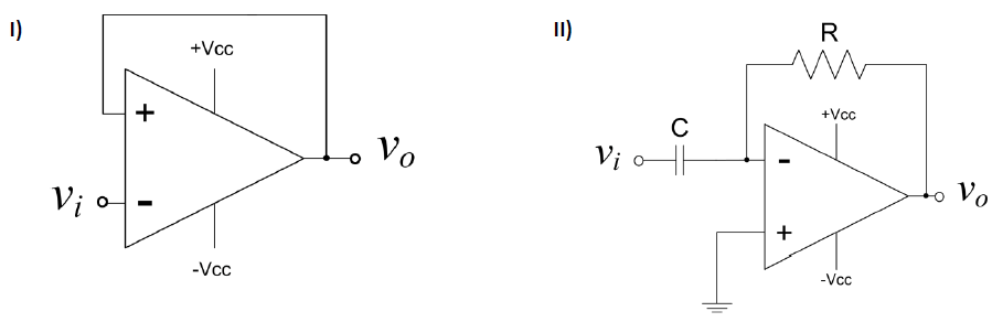
Apresentam-se dois circuitos eletrônicos comumente encontrados em aplicações de instrumentação e controle em tempo contínuo:

Julgue as proposições I e II, a respeito desses circuitos:
I – O circuito I é um circuito seguidor de linha, utilizado para casamento de impedâncias, em que !$ v_O=v_i !$.
II – O circuito II é um circuito integrador, sendo: !$ v_o(t)=\dfrac{-1}RC\int_{-\infty}^t\, v_i(t)dt !$
Assinale a alternativa CORRETA.
Provas
Questão presente nas seguintes provas
Segundo Oliveira (2011), uma biblioteca ou unidade de informação, entendida como uma organização, possui três grandes funções. Assim, das funções citadas pela autora a que aglutina as atividades mais especializadas do profissional da informação é a:
Provas
Questão presente nas seguintes provas
Apresentam-se proposições de I a V sobre os métodos de fluorescência e absorção de raios X utilizados para análise qualitativa e quantitativa de quase todos os elementos da tabela periódica.
I – Para que ocorra a difração de raios X, o comprimento de onda da radiação incidente deve ser menor que o comprimento da distância entre os planos da estrutura cristalina estudada.
II – A análise por fluorescência de raios X consiste na excitação dos elementos que constituem a amostra, na dispersão dos raios X característicos emitidos pela amostra e na detecção desses raios.
III – A Lei de Bragg é representada pela equação nλ = 2 d senθ.
IV – Os métodos de fluorescência de raios X apresentam mais alta sensibilidade quando comparados com os métodos óticos.
V – Raios X policromáticos são mais indicados que os monocromáticos para estudos de materiais cristalinos por difração de raios X.
Assinale a alternativa CORRETA.
Provas
Questão presente nas seguintes provas
As informações apresentadas abaixo caracterizam as drogas antiinflamatórias não esteroidais (AINES) correspondentes, EXCETO:
Provas
Questão presente nas seguintes provas
As figuras representam três formas de relações entre agrupamentos taxonômicos em uma filogenia hipotética com oito espécies. Marque a alternativa que identifica os agrupamentos CORRETOS.

Provas
Questão presente nas seguintes provas
Segundo Dominique Poulot, "um outro tipo de museu de história ilustra a diferença dos tempos: o passado parece narrar-se a si mesmo em uma encenação da cor local." (POULOT, 2013). Em relação às tipologias de museus, assinale a alternativa CORRETA que corresponde à citação.
Provas
Questão presente nas seguintes provas
A declividade que um canal deve apresentar para que o mesmo tenha capacidade de transportar 15 m³/s em seção, com 6,0 m de base e altura de água de 1,5 m é:
Sabe-se que o coeficiente de rugosidade Manning é de 0,02 m-1/3/s.
Provas
Questão presente nas seguintes provas
Em relação aos transportes através da membrana plasmática, é CORRETO afirmar que:
Provas
Questão presente nas seguintes provas
Uma roseta de extensômetros foi colada na carcaça de um motor e as seguintes deformações específicas foram encontradas: !$ \varepsilon_x = 10 \mu, \varepsilon_y = 4 \mu, \gamma_{xy} = 8 \mu !$. As deformações específicas mínima e máxima foram, respectivamente:
Provas
Questão presente nas seguintes provas
Cadernos
Caderno Container