Foram encontradas 50 questões.

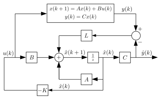
Em relação ao diagrama, assinale V (verdadeiro) ou F (falso) nas alternativas seguintes.
( ) A dinâmica de malha fechada pode ser descrita por \(x(k +1) = Ax (k) - BK \hat{x}(k). \)
( ) O estimador de estado é descrito por \(\hat{x}(k) = (A - LC)\hat{x}(k - 1) + Bu (k - 1) \).
( ) Os autovalores da matriz A devem estar contidos no círculo unitário do plano z.
A sequência correta é
Provas
Disciplina: TI - Organização e Arquitetura dos Computadores
Banca: UFPA
Orgão: UFOPA
Provas
Disciplina: TI - Organização e Arquitetura dos Computadores
Banca: UFPA
Orgão: UFOPA
(__) Memória volátil é temporária e requer uma fonte de energia para reter os dados.
(__) As memórias RAM e ROM são do tipo volátil.
(__) Pinos GPIO de interfaces digitais de microcontroladores são raros e obsoletos.
(__) UART, SPI e I2C são interfaces comuns de comunicação de dados em microcontroladores.
A sequência correta é
Provas
(__) 0x0 = 1
(__) 0x1 = 0
(__) 1x0 = 0
(__) 1x1 = 1
A sequência correta é
Provas
(__) 0-0 = 1
(__) 1-0 = 1
(__) 1-1 = 0
(__) 10-1 = 1 (“empresta 1” do dígito de ordem superior)
A sequência correta é
Provas
(__) 0+0 = 0
(__) 0+1 = 1
(__) 1+0 = 1
(__) 1+1 = 0 (e “vai 1” para o dígito de ordem superior)
A sequência correta é
Provas
Considere o circuito lógico mostrado na figura a seguir.

Com base na figura acima, assinale a alternativa que corresponde à expressão Booleana do circuito.
Provas
Considere o símbolo de uma porta lógica mostrado na figura a seguir.

Com base na figura acima, assinale a alternativa que corresponde ao tipo de porta lógica.
Provas
O circuito eletrônico mostrado a seguir permite implementar um controlador Proporcional-Integral, cuja entrada é o sinal de erro e(t) e a saída é o sinal de controle u(t).

Sabendo que a função de transferência do circuito é dada por \(\dfrac{U(s)}{E(s)} = \left( \dfrac{R_4 R_2}{R_3 R_1} \right) \left( \dfrac{R_2 C_2 s + 1}{R_2 C_2 s} \right)\), assinale a alternativa que apresenta a relação correta entre os elementos de circuito e os ganhos Proporcional (kp) e Integral (ki):
Provas
Com base nesse diagrama, é correto afirmar:
Provas
Caderno Container