Foram encontradas 760 questões.
As questões de 1 a 10 desta prova são baseadas no texto abaixo.
Cartas que (ainda) te quero cartas
William Eloi
1º Foi há mais ou menos dezessete anos. Era um dia de sábado. A crônica havia saído em uma edição do extinto O Poti. Eu estava ali, encerrado em um cubículo, dentro de um elevador que dava para o portão principal. Trabalhava na portaria de uma faculdade particular e – mesmo desarmado – tomava conta de todo um prédio, que ainda incluía computadores, laboratórios de todos os tipos e peças anatômicas orgânicas. Não havia expediente acadêmico aos sábados à noite; então, aproveitava para ler todos os jornais de que a faculdade possuía a assinatura e que chegavam à portaria, já que eu estava só, e os cadáveres – as peças – permaneceriam submersas em seus tanques. Mudas.
2º O nome da crônica era “Cartas que te quero cartas”, do jornalista Osair Vasconcelos. Nela, com certo saudosismo e desalento, o autor apontava o fim de um dos mais antigos modelos de românticos de comunicação, A Carta, com o surgimento do vírus Antraz (ou Anthrax), usado como arma biológica pelo Talibã.
3º Diferentemente do que Osair profetizou à época, A Carta saiu vencedora e nunca mais se ouviu falar na mídia de algo relacionado ao carbúnculo, salvo a banda nova-iorquina de trash metal, de mesmo nome, que, no período, ficou constrangida com a associação bizarra. A Carta só começaria a ver sua derrocada, seu modelo relegado ao canto na história, com o nascimento do e-mail, a ascensão das redes sociais, e, mais recentemente (?), o fenômeno WhatsApp.
4º Difícil imaginar todo o lirismo pungente com que Oscar Wilde escreveu para o seu amado Bosie, sob as lágrimas derramadas nas folhas de papel, atrás dos muros de Reading, ou a famosa troca de correspondências entre os poetas Rainer Maria Rilke e Franz Kappus; tudo isso digitado com a supressão de substantivos, verbos, adjetivos. Em uma Carta, há tempo (ou havia) para sermos reflexivos, cuidadosos em cada letra e, por isso, mais profundos. Tempo para nos acomodarmos ao banco – como um concertista, passando em revista a sua pauta, depois de revisado todo o programa, suspira.
5º Algumas Cartas poderiam levar até um pouco de perfume ao ser amado; o fio de um cabelo caído ali por descuido. O tremor em cada letra pela emoção, ou a inabilidade do desenho na forma cursiva, denunciando a instrução humilde de quem sabe escrever pouco mais do que o próprio nome, mas que, mesmo assim, desfilava seus garranchos com orgulho. E, mesmo as que ainda estavam guardadas há muito tempo em velhos baús, já quase esquecidas, podiam ser acariciadas com a ponta dos dedos, ou das luvas, percorrendo-lhes cada linha, admirados com a folha enrugada, com a ação da atmosfera, que lhe conferiu um ar amarelo de “dignidade”, ao mesmo tempo em que pensávamos: Parece que foi ontem…
6º E as Cartas ilustres, dignas de objeto de estudo, ou adoração. Memorabílias que definiram certos rumos ou acontecimentos na história, protegidas geralmente por vidros e sistemas de segurança – a exemplo das missivas de Freud e Jung, expostas num museu de Zurique, relatando ao público curioso desde os primeiros anos da amizade entre os dois gigantes da psicanálise ao rompimento definitivo; ou a exemplo dos ataques, descritos à mão, de um Lennon magoado e furioso a Paul McCartney, arrematada por milhões de dólares.
7º Lembro-me de, quando ainda garoto, escrevia cartas ditadas pela minha mãe para a parentela – ela não sabia escrever – com meu pai passando para lá e para cá e, vez por outra, vociferando qualquer coisa do tipo sobre meus ombros: “Você não deve repetir a mesma palavra!” ou “Resuma tudo o que você quer dizer!” e, mesmo assim, quase sem querer, ensinava-me um pouco do que eram os rudimentos da técnica de comunicação. É difícil de imaginar tudo isso na era da “informação”, porque, entre os toques nervosos em tablets e smartphones, apenas informamos; estamos sempre enviando mensagens enquanto fazemos outras coisas. (Bem, acho que você certamente já teve a experiência de conversar com alguém enquanto essa pessoa lhe acena positivamente com a cabeça e responde um “Zap”).
8º E aqui, apesar de não ser um bruxo, lanço também minha profecia, minha visão do futuro: haverá o dia em que as máquinas irão criar a transferência de consciência, o implante de falsas memórias, mas a sensação física do primeiro toque, do primeiro cheiro, dessa sinestesia geradora do mundo, não – por mais que a experiência da “leitura” e da “escrita” também nos transporte além de nosso ambiente físico-corpóreo, como um link – porque, quando lançamos os dedos ou o olhar sobre a superfície de qualquer coisa, a fim de ler, de nos comunicarmos, há ali também qualquer coisa de fetiche, de sedução. Como o hábito de fumar, que não apenas está relacionado simplesmente ao trago, ao gosto da nicotina, mas à sensação do dedo rolando a roldana contra a pedra de pederneira, a chama que sobe sob o gás propano.
9º No fim, é a velha ilusão do tempo em que a hiperconectividade nos coloca agora. A sensação de estarmos indo lento demais num piscar de luzes, de sins e de nãos, a velocidades cada vez mais rápidas. E, por isso, frustrados, achando-nos out, nos entupimos de Lexotan e vemos o romantismo como coisa do passado.
Disponível em: <www.cartapotiguar.com.br>. Acesso em: 27 jun. 2018. [Adaptado]
No texto, entrecruzam-se prioritariamente as sequências
Provas
As questões de 1 a 10 desta prova são baseadas no texto abaixo.
Cartas que (ainda) te quero cartas
William Eloi
1º Foi há mais ou menos dezessete anos. Era um dia de sábado. A crônica havia saído em uma edição do extinto O Poti. Eu estava ali, encerrado em um cubículo, dentro de um elevador que dava para o portão principal. Trabalhava na portaria de uma faculdade particular e – mesmo desarmado – tomava conta de todo um prédio, que ainda incluía computadores, laboratórios de todos os tipos e peças anatômicas orgânicas. Não havia expediente acadêmico aos sábados à noite; então, aproveitava para ler todos os jornais de que a faculdade possuía a assinatura e que chegavam à portaria, já que eu estava só, e os cadáveres – as peças – permaneceriam submersas em seus tanques. Mudas.
2º O nome da crônica era “Cartas que te quero cartas”, do jornalista Osair Vasconcelos. Nela, com certo saudosismo e desalento, o autor apontava o fim de um dos mais antigos modelos de românticos de comunicação, A Carta, com o surgimento do vírus Antraz (ou Anthrax), usado como arma biológica pelo Talibã.
3º Diferentemente do que Osair profetizou à época, A Carta saiu vencedora e nunca mais se ouviu falar na mídia de algo relacionado ao carbúnculo, salvo a banda nova-iorquina de trash metal, de mesmo nome, que, no período, ficou constrangida com a associação bizarra. A Carta só começaria a ver sua derrocada, seu modelo relegado ao canto na história, com o nascimento do e-mail, a ascensão das redes sociais, e, mais recentemente (?), o fenômeno WhatsApp.
4º Difícil imaginar todo o lirismo pungente com que Oscar Wilde escreveu para o seu amado Bosie, sob as lágrimas derramadas nas folhas de papel, atrás dos muros de Reading, ou a famosa troca de correspondências entre os poetas Rainer Maria Rilke e Franz Kappus; tudo isso digitado com a supressão de substantivos, verbos, adjetivos. Em uma Carta, há tempo (ou havia) para sermos reflexivos, cuidadosos em cada letra e, por isso, mais profundos. Tempo para nos acomodarmos ao banco – como um concertista, passando em revista a sua pauta, depois de revisado todo o programa, suspira.
5º Algumas Cartas poderiam levar até um pouco de perfume ao ser amado; o fio de um cabelo caído ali por descuido. O tremor em cada letra pela emoção, ou a inabilidade do desenho na forma cursiva, denunciando a instrução humilde de quem sabe escrever pouco mais do que o próprio nome, mas que, mesmo assim, desfilava seus garranchos com orgulho. E, mesmo as que ainda estavam guardadas há muito tempo em velhos baús, já quase esquecidas, podiam ser acariciadas com a ponta dos dedos, ou das luvas, percorrendo-lhes cada linha, admirados com a folha enrugada, com a ação da atmosfera, que lhe conferiu um ar amarelo de “dignidade”, ao mesmo tempo em que pensávamos: Parece que foi ontem…
6º E as Cartas ilustres, dignas de objeto de estudo, ou adoração. Memorabílias que definiram certos rumos ou acontecimentos na história, protegidas geralmente por vidros e sistemas de segurança – a exemplo das missivas de Freud e Jung, expostas num museu de Zurique, relatando ao público curioso desde os primeiros anos da amizade entre os dois gigantes da psicanálise ao rompimento definitivo; ou a exemplo dos ataques, descritos à mão, de um Lennon magoado e furioso a Paul McCartney, arrematada por milhões de dólares.
7º Lembro-me de, quando ainda garoto, escrevia cartas ditadas pela minha mãe para a parentela – ela não sabia escrever – com meu pai passando para lá e para cá e, vez por outra, vociferando qualquer coisa do tipo sobre meus ombros: “Você não deve repetir a mesma palavra!” ou “Resuma tudo o que você quer dizer!” e, mesmo assim, quase sem querer, ensinava-me um pouco do que eram os rudimentos da técnica de comunicação. É difícil de imaginar tudo isso na era da “informação”, porque, entre os toques nervosos em tablets e smartphones, apenas informamos; estamos sempre enviando mensagens enquanto fazemos outras coisas. (Bem, acho que você certamente já teve a experiência de conversar com alguém enquanto essa pessoa lhe acena positivamente com a cabeça e responde um “Zap”).
8º E aqui, apesar de não ser um bruxo, lanço também minha profecia, minha visão do futuro: haverá o dia em que as máquinas irão criar a transferência de consciência, o implante de falsas memórias, mas a sensação física do primeiro toque, do primeiro cheiro, dessa sinestesia geradora do mundo, não – por mais que a experiência da “leitura” e da “escrita” também nos transporte além de nosso ambiente físico-corpóreo, como um link – porque, quando lançamos os dedos ou o olhar sobre a superfície de qualquer coisa, a fim de ler, de nos comunicarmos, há ali também qualquer coisa de fetiche, de sedução. Como o hábito de fumar, que não apenas está relacionado simplesmente ao trago, ao gosto da nicotina, mas à sensação do dedo rolando a roldana contra a pedra de pederneira, a chama que sobe sob o gás propano.
9º No fim, é a velha ilusão do tempo em que a hiperconectividade nos coloca agora. A sensação de estarmos indo lento demais num piscar de luzes, de sins e de nãos, a velocidades cada vez mais rápidas. E, por isso, frustrados, achando-nos out, nos entupimos de Lexotan e vemos o romantismo como coisa do passado.
Disponível em: <www.cartapotiguar.com.br>. Acesso em: 27 jun. 2018. [Adaptado]
No que diz respeito à progressão das ideias, afirma-se corretamente:
Provas
As questões de 1 a 10 desta prova são baseadas no texto abaixo.
Cartas que (ainda) te quero cartas
William Eloi
1º Foi há mais ou menos dezessete anos. Era um dia de sábado. A crônica havia saído em uma edição do extinto O Poti. Eu estava ali, encerrado em um cubículo, dentro de um elevador que dava para o portão principal. Trabalhava na portaria de uma faculdade particular e – mesmo desarmado – tomava conta de todo um prédio, que ainda incluía computadores, laboratórios de todos os tipos e peças anatômicas orgânicas. Não havia expediente acadêmico aos sábados à noite; então, aproveitava para ler todos os jornais de que a faculdade possuía a assinatura e que chegavam à portaria, já que eu estava só, e os cadáveres – as peças – permaneceriam submersas em seus tanques. Mudas.
2º O nome da crônica era “Cartas que te quero cartas”, do jornalista Osair Vasconcelos. Nela, com certo saudosismo e desalento, o autor apontava o fim de um dos mais antigos modelos de românticos de comunicação, A Carta, com o surgimento do vírus Antraz (ou Anthrax), usado como arma biológica pelo Talibã.
3º Diferentemente do que Osair profetizou à época, A Carta saiu vencedora e nunca mais se ouviu falar na mídia de algo relacionado ao carbúnculo, salvo a banda nova-iorquina de trash metal, de mesmo nome, que, no período, ficou constrangida com a associação bizarra. A Carta só começaria a ver sua derrocada, seu modelo relegado ao canto na história, com o nascimento do e-mail, a ascensão das redes sociais, e, mais recentemente (?), o fenômeno WhatsApp.
4º Difícil imaginar todo o lirismo pungente com que Oscar Wilde escreveu para o seu amado Bosie, sob as lágrimas derramadas nas folhas de papel, atrás dos muros de Reading, ou a famosa troca de correspondências entre os poetas Rainer Maria Rilke e Franz Kappus; tudo isso digitado com a supressão de substantivos, verbos, adjetivos. Em uma Carta, há tempo (ou havia) para sermos reflexivos, cuidadosos em cada letra e, por isso, mais profundos. Tempo para nos acomodarmos ao banco – como um concertista, passando em revista a sua pauta, depois de revisado todo o programa, suspira.
5º Algumas Cartas poderiam levar até um pouco de perfume ao ser amado; o fio de um cabelo caído ali por descuido. O tremor em cada letra pela emoção, ou a inabilidade do desenho na forma cursiva, denunciando a instrução humilde de quem sabe escrever pouco mais do que o próprio nome, mas que, mesmo assim, desfilava seus garranchos com orgulho. E, mesmo as que ainda estavam guardadas há muito tempo em velhos baús, já quase esquecidas, podiam ser acariciadas com a ponta dos dedos, ou das luvas, percorrendo-lhes cada linha, admirados com a folha enrugada, com a ação da atmosfera, que lhe conferiu um ar amarelo de “dignidade”, ao mesmo tempo em que pensávamos: Parece que foi ontem…
6º E as Cartas ilustres, dignas de objeto de estudo, ou adoração. Memorabílias que definiram certos rumos ou acontecimentos na história, protegidas geralmente por vidros e sistemas de segurança – a exemplo das missivas de Freud e Jung, expostas num museu de Zurique, relatando ao público curioso desde os primeiros anos da amizade entre os dois gigantes da psicanálise ao rompimento definitivo; ou a exemplo dos ataques, descritos à mão, de um Lennon magoado e furioso a Paul McCartney, arrematada por milhões de dólares.
7º Lembro-me de, quando ainda garoto, escrevia cartas ditadas pela minha mãe para a parentela – ela não sabia escrever – com meu pai passando para lá e para cá e, vez por outra, vociferando qualquer coisa do tipo sobre meus ombros: “Você não deve repetir a mesma palavra!” ou “Resuma tudo o que você quer dizer!” e, mesmo assim, quase sem querer, ensinava-me um pouco do que eram os rudimentos da técnica de comunicação. É difícil de imaginar tudo isso na era da “informação”, porque, entre os toques nervosos em tablets e smartphones, apenas informamos; estamos sempre enviando mensagens enquanto fazemos outras coisas. (Bem, acho que você certamente já teve a experiência de conversar com alguém enquanto essa pessoa lhe acena positivamente com a cabeça e responde um “Zap”).
8º E aqui, apesar de não ser um bruxo, lanço também minha profecia, minha visão do futuro: haverá o dia em que as máquinas irão criar a transferência de consciência, o implante de falsas memórias, mas a sensação física do primeiro toque, do primeiro cheiro, dessa sinestesia geradora do mundo, não – por mais que a experiência da “leitura” e da “escrita” também nos transporte além de nosso ambiente físico-corpóreo, como um link – porque, quando lançamos os dedos ou o olhar sobre a superfície de qualquer coisa, a fim de ler, de nos comunicarmos, há ali também qualquer coisa de fetiche, de sedução. Como o hábito de fumar, que não apenas está relacionado simplesmente ao trago, ao gosto da nicotina, mas à sensação do dedo rolando a roldana contra a pedra de pederneira, a chama que sobe sob o gás propano.
9º No fim, é a velha ilusão do tempo em que a hiperconectividade nos coloca agora. A sensação de estarmos indo lento demais num piscar de luzes, de sins e de nãos, a velocidades cada vez mais rápidas. E, por isso, frustrados, achando-nos out, nos entupimos de Lexotan e vemos o romantismo como coisa do passado.
Disponível em: <www.cartapotiguar.com.br>. Acesso em: 27 jun. 2018. [Adaptado]
O título do texto se ancora
Provas
As questões de 1 a 10 desta prova são baseadas no texto abaixo.
Cartas que (ainda) te quero cartas
William Eloi
1º Foi há mais ou menos dezessete anos. Era um dia de sábado. A crônica havia saído em uma edição do extinto O Poti. Eu estava ali, encerrado em um cubículo, dentro de um elevador que dava para o portão principal. Trabalhava na portaria de uma faculdade particular e – mesmo desarmado – tomava conta de todo um prédio, que ainda incluía computadores, laboratórios de todos os tipos e peças anatômicas orgânicas. Não havia expediente acadêmico aos sábados à noite; então, aproveitava para ler todos os jornais de que a faculdade possuía a assinatura e que chegavam à portaria, já que eu estava só, e os cadáveres – as peças – permaneceriam submersas em seus tanques. Mudas.
2º O nome da crônica era “Cartas que te quero cartas”, do jornalista Osair Vasconcelos. Nela, com certo saudosismo e desalento, o autor apontava o fim de um dos mais antigos modelos de românticos de comunicação, A Carta, com o surgimento do vírus Antraz (ou Anthrax), usado como arma biológica pelo Talibã.
3º Diferentemente do que Osair profetizou à época, A Carta saiu vencedora e nunca mais se ouviu falar na mídia de algo relacionado ao carbúnculo, salvo a banda nova-iorquina de trash metal, de mesmo nome, que, no período, ficou constrangida com a associação bizarra. A Carta só começaria a ver sua derrocada, seu modelo relegado ao canto na história, com o nascimento do e-mail, a ascensão das redes sociais, e, mais recentemente (?), o fenômeno WhatsApp.
4º Difícil imaginar todo o lirismo pungente com que Oscar Wilde escreveu para o seu amado Bosie, sob as lágrimas derramadas nas folhas de papel, atrás dos muros de Reading, ou a famosa troca de correspondências entre os poetas Rainer Maria Rilke e Franz Kappus; tudo isso digitado com a supressão de substantivos, verbos, adjetivos. Em uma Carta, há tempo (ou havia) para sermos reflexivos, cuidadosos em cada letra e, por isso, mais profundos. Tempo para nos acomodarmos ao banco – como um concertista, passando em revista a sua pauta, depois de revisado todo o programa, suspira.
5º Algumas Cartas poderiam levar até um pouco de perfume ao ser amado; o fio de um cabelo caído ali por descuido. O tremor em cada letra pela emoção, ou a inabilidade do desenho na forma cursiva, denunciando a instrução humilde de quem sabe escrever pouco mais do que o próprio nome, mas que, mesmo assim, desfilava seus garranchos com orgulho. E, mesmo as que ainda estavam guardadas há muito tempo em velhos baús, já quase esquecidas, podiam ser acariciadas com a ponta dos dedos, ou das luvas, percorrendo-lhes cada linha, admirados com a folha enrugada, com a ação da atmosfera, que lhe conferiu um ar amarelo de “dignidade”, ao mesmo tempo em que pensávamos: Parece que foi ontem…
6º E as Cartas ilustres, dignas de objeto de estudo, ou adoração. Memorabílias que definiram certos rumos ou acontecimentos na história, protegidas geralmente por vidros e sistemas de segurança – a exemplo das missivas de Freud e Jung, expostas num museu de Zurique, relatando ao público curioso desde os primeiros anos da amizade entre os dois gigantes da psicanálise ao rompimento definitivo; ou a exemplo dos ataques, descritos à mão, de um Lennon magoado e furioso a Paul McCartney, arrematada por milhões de dólares.
7º Lembro-me de, quando ainda garoto, escrevia cartas ditadas pela minha mãe para a parentela – ela não sabia escrever – com meu pai passando para lá e para cá e, vez por outra, vociferando qualquer coisa do tipo sobre meus ombros: “Você não deve repetir a mesma palavra!” ou “Resuma tudo o que você quer dizer!” e, mesmo assim, quase sem querer, ensinava-me um pouco do que eram os rudimentos da técnica de comunicação. É difícil de imaginar tudo isso na era da “informação”, porque, entre os toques nervosos em tablets e smartphones, apenas informamos; estamos sempre enviando mensagens enquanto fazemos outras coisas. (Bem, acho que você certamente já teve a experiência de conversar com alguém enquanto essa pessoa lhe acena positivamente com a cabeça e responde um “Zap”).
8º E aqui, apesar de não ser um bruxo, lanço também minha profecia, minha visão do futuro: haverá o dia em que as máquinas irão criar a transferência de consciência, o implante de falsas memórias, mas a sensação física do primeiro toque, do primeiro cheiro, dessa sinestesia geradora do mundo, não – por mais que a experiência da “leitura” e da “escrita” também nos transporte além de nosso ambiente físico-corpóreo, como um link – porque, quando lançamos os dedos ou o olhar sobre a superfície de qualquer coisa, a fim de ler, de nos comunicarmos, há ali também qualquer coisa de fetiche, de sedução. Como o hábito de fumar, que não apenas está relacionado simplesmente ao trago, ao gosto da nicotina, mas à sensação do dedo rolando a roldana contra a pedra de pederneira, a chama que sobe sob o gás propano.
9º No fim, é a velha ilusão do tempo em que a hiperconectividade nos coloca agora. A sensação de estarmos indo lento demais num piscar de luzes, de sins e de nãos, a velocidades cada vez mais rápidas. E, por isso, frustrados, achando-nos out, nos entupimos de Lexotan e vemos o romantismo como coisa do passado.
Disponível em: <www.cartapotiguar.com.br>. Acesso em: 27 jun. 2018. [Adaptado]
Em sua centralidade, o texto objetiva
Provas
Provas
Logo após tomar posse no cargo de assistente administrativo, o servidor técnico-administrativo do departamento de desenvolvimento de talentos de uma universidade federal se ofereceu para ministrar um minicurso sobre conhecimentos básicos de Word, utilizando a versão 2010. Na apostila que ele montou, constam as informações abaixo.
I Para usar um modelo próprio de memorando que você já tenha criado, clique em Meus Modelos, clique no modelo desejado e clique em OK.
II Para ativar o controle de alterações, na guia Revisão, no grupo Controle, clique em Controlar Alterações.
III Em Imprimir, na caixa Cópias, digite a quantidade de cópias que você deseja imprimir.
IV Na lista Salvar como tipo, clique em Documento do Word 97-2003. Esse procedimento altera o formato de arquivo para .doc.
Com o intuito de adotar o padrão ofício e manter o registro das revisões textuais realizadas os procedimentos corretos a serem utilizados são, respectivamente,
Provas
Provas
O chefe do Departamento de Ciências Administrativas de uma universidade federal determinou ao secretário da unidade que redigisse um memorando, a ser enviado à direção do centro, solicitando a compra de cadeiras para o laboratório de metodologias ativas. Para elaborar esse memorando, o servidor deve obedecer ao princípio da impessoalidade, previsto na Constituição Federal e adotado no manual de redação oficial do poder executivo brasileiro. Com base nesse princípio, analise as afirmativas abaixo.
I A ausência de impressões individuais de quem comunica, no caso do memorando a ser redigido, será alcançada se a assinatura for feita em nome da unidade administrativa, obtendo-se a padronização desejável que permite que comunicações elaboradas em diferentes setores da administração guardem entre si uniformidade.
II A impessoalidade de quem recebe a comunicação, no caso do memorando a ser redigido, será alcançada se for incluído, no destinatário, a unidade administrativa correspondente, concebida de forma homogênea e impessoal, sem usar tom particular ou pessoal, uma vez que o assunto diz respeito ao interesse público.
III A aplicação do caráter impessoal do próprio assunto tratado será atendido se o universo temático das comunicações oficiais se restringir a questões que dizem respeito ao interesse público. No caso do memorando a ser redigido, a clareza possibilitará a imediata compreensão pelo destinatário, na pessoa do chefe de departamento.
IV A concisão será atingida quando o memorando a ser redigido apresentar o limite máximo de linhas estabelecidas para esse tipo de documento oficial, obedecendo -se ao princípio de economia linguística, no qual se evita a duplicidade de interpretações que poderia decorrer de um tratamento personalista ao texto.
De acordo com o Manual de Redação da Presidência da República, estão corretas e adequadamente relacionadas ao princípio da impessoalidade as afirmativas
Provas
- Manual de Redação da Presidência da RepúblicaAs Comunicações OficiaisPadrão OfícioPartes do documento no Padrão Ofício
- Manual de Redação da Presidência da RepúblicaAs Comunicações OficiaisPadrão OfícioO Padrão Ofício
Provas
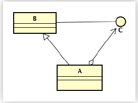
A figura a seguir representa um diagrama de classe UML.

Com base nesse diagrama UML, analise as afirmativas abaixo.
I Classe B implementa a interface C.
II Classe A está associada à classe B.
III Classe A é composta de objetos da interface C.
IV Classe B está associada à interface C.
Estão corretas as afirmativas
Provas
Caderno Container