Foram encontradas 515 questões.
Sobre o processo de transferência simultânea de calor e massa (secagem), analise as afirmativas abaixo.
I. Durante o primeiro período decrescente de taxa de secagem de uma curva de secagem típica em condições constantes, a superfície fica paulatinamente mais pobre em líquido, pois a velocidade do movimento do líquido para a superfície é menor que a velocidade com que a massa é transferida para a superfície.
II. O processo de secagem por convecção forçada de ar, quando utilizado para secagem de alimento, preserva melhor as características organolépticas do alimento em relação ao processo a vácuo.
III. Teor de umidade em base seca é definido como a relação entre a massa seca e a massa total.
IV. Teor de umidade em base úmida é definido como a relação entre a massa inicial e a massa de água.
Assinale a alternativa CORRETA.
Provas
Questão presente nas seguintes provas
Assinale a alternativa CORRETA.
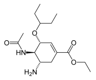
No fármaco fosfato de oseltamivir, a formação das funções amida e éster, representadas na estrutura dada, poderia ocorrer a partir da reação entre o grupamento amina e o grupamento carboxílico, respectivamente, com:

Provas
Questão presente nas seguintes provas
- ECAGeralDireitos Fundamentais (art. 7º ao 69)Do Direito à Educação, à Cultura, ao Esporte e ao Lazer (Art. 53 a 59)
Assinale a alternativa CORRETA.
O direito da criança e do adolescente à educação, previsto no Estatuto da Criança e do Adolescente, visa:
Provas
Questão presente nas seguintes provas
Relacione as expressões que definem leis úteis no estudo e no desenvolvimento em eletricidade e eletrônica presentes na coluna 1 com a identificação das leis na coluna 2.
Coluna 1
I. A corrente elétrica num circuito é diretamente proporcional à tensão aplicada e inversamente proporcional à resistência do circuito.
II. Em um nó, a soma das correntes elétricas que entram é igual à soma das correntes elétricas que saem.
III. A soma algébrica da diferença de potencial elétrico em um percurso fechado de um circuito é nula.
IV. O módulo da força entre duas cargas elétricas puntiformes (q1 e q2) é diretamente proporcional ao produto dos valores absolutos (módulos) dessas duas cargas e inversamente proporcional ao quadrado da distância r entre as cargas elétricas.
V. Quando uma corrente elétrica se propaga ao longo de um condutor metálico, o calor desenvolvido num dado tempo é proporcional à resistência do condutor multiplicada pelo quadrado da intensidade elétrica.
Coluna 2
( ) 1ª Lei de Kirchhoff
( ) Lei de Coulomb
( ) Lei de Joule
( ) 2ª Lei de Kirchhoff
( ) Lei de Ohm
Assinale a alternativa que apresenta a sequência CORRETA, de cima para baixo.
Provas
Questão presente nas seguintes provas
- Saúde e Segurança no Ambiente de TrabalhoRiscos Ocupacionais (Análise e Gerenciamento de Riscos)Mapa de Riscos
Assinale a alternativa CORRETA.
Provas
Questão presente nas seguintes provas
Assinale a alternativa que responde CORRETAMENTE à pergunta abaixo.
O pentóxido de fósforo (P2O5) reage completamente com água para formar o ácido fosfórico (H3PO4). Um estudante reagiu 1,42 g de pentóxido de fósforo com excesso de água. Assumindo-se um comportamento ideal, qual é o volume de uma solução 0,30 mol.L-1 de KOH necessário para neutralizar completamente todo o ácido fosfórico produzido?
Provas
Questão presente nas seguintes provas
Assinale a alternativa CORRETA.
No processo de preparação de lâminas histológicas, após a etapa de microtomia, as secções de tecidos incluídas em parafina são submetidas a:
Provas
Questão presente nas seguintes provas
Assinale a alternativa que apresenta CORRETAMENTE os mecanismos de desgaste de ferramentas de corte.
Provas
Questão presente nas seguintes provas
Assinale a alternativa que responde CORRETAMENTE à pergunta abaixo.
Em uma planta topográfica, curvas de nível são apresentadas na escala 1:2500. Se uma determinada distância retilínea entre dois pontos A e B medida na planta for de 52 mm, qual é a distância real entre esses mesmos pontos?
Provas
Questão presente nas seguintes provas
Com relação a instrumentos de medição, assinale a alternativa CORRETA.
Provas
Questão presente nas seguintes provas
Cadernos
Caderno Container