Foram encontradas 346 questões.
Os sais de ácidos carboxílicos obtidos a partir da reação de saponificação dos óleos vegetais são utilizados como sabões. Entretanto, em regiões cujas águas são ricas em metais alcalinoterrosos (chamadas águas duras), principalmente Ca2+ e Mg2+, os sabões perdem eficiência devido à baixa solubilidade dos sais orgânicos desses metais, o que causa a precipitação.
A região da Andaluzia, na Espanha, é reconhecida internacionalmente por um de seus pratos típicos: a paella. Seus moradores atribuem a ótima qualidade das paellas ali produzidas à elevada dureza das águas da região. A explicação mais plausível para esse fato, do ponto de vista científico, é a de que a elevada dureza
Provas
Os sais de ácidos carboxílicos obtidos a partir da reação de saponificação dos óleos vegetais são utilizados como sabões. Entretanto, em regiões cujas águas são ricas em metais alcalinoterrosos (chamadas águas duras), principalmente Ca2+ e Mg2+, os sabões perdem eficiência devido à baixa solubilidade dos sais orgânicos desses metais, o que causa a precipitação.
Com base nessas informações e considerando as soluções ideais, julgue o item a seguir.
No arraste de moléculas de gordura durante a lavagem com sabões, os grupamentos hidrofóbicos do sabão são responsáveis pela interação com as moléculas de gordura, enquanto o grupo carboxilato interage com a água.
Provas
Os sais de ácidos carboxílicos obtidos a partir da reação de saponificação dos óleos vegetais são utilizados como sabões. Entretanto, em regiões cujas águas são ricas em metais alcalinoterrosos (chamadas águas duras), principalmente Ca2+ e Mg2+, os sabões perdem eficiência devido à baixa solubilidade dos sais orgânicos desses metais, o que causa a precipitação.
Com base nessas informações e considerando as soluções ideais, julgue o item a seguir.
Em uma amostra de água com concentração de íons Ca2+ igual a 0,010 mol/L, a concentração do íon monovalente oleato, a partir da qual se inicia a precipitação do oleato de cálcio, é igual a !$ 10 \sqrt {K_s} !$ , em que Ks é a constante do produto de solubilidade do oleato de cálcio.
Provas

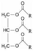
O óleo de macaúba tem despertado grande interesse comercial devido à sua aplicabilidade nas indústrias farmacêutica, alimentícia e de biocombustíveis. Esse óleo é formado por moléculas de triglicerídeos, conforme figura acima, em que R representa cadeias hidrocarbônicas que podem ser iguais ou não entre si. Um dos métodos de caracterização das propriedades físicoquímicas de um óleo vegetal é o índice de saponificação, que consiste na quantidade de hidróxido de potássio necessária para reagir, por saponificação, com 1 grama desse óleo. A reação de saponificação do óleo de macaúba forma, principalmente, os sais de ácido láurico e de ácido oleico, ambos ácidos de fórmula geral RCOOH. Para o ácido láurico, R consiste em uma cadeia aberta saturada de 11 átomos de carbono e, para o ácido oleico, em uma cadeia aberta de 17 átomos de carbono com uma insaturação.
Considere que, para a extração de óleo vegetal, sementes de uma planta tenham sido moídas na presença de um solvente orgânico apolar. Nessa situação, o método mais adequado para se proceder à posterior separação do solvente utilizado e do óleo vegetal é a
Provas

O óleo de macaúba tem despertado grande interesse comercial devido à sua aplicabilidade nas indústrias farmacêutica, alimentícia e de biocombustíveis. Esse óleo é formado por moléculas de triglicerídeos, conforme figura acima, em que R representa cadeias hidrocarbônicas que podem ser iguais ou não entre si. Um dos métodos de caracterização das propriedades físicoquímicas de um óleo vegetal é o índice de saponificação, que consiste na quantidade de hidróxido de potássio necessária para reagir, por saponificação, com 1 grama desse óleo. A reação de saponificação do óleo de macaúba forma, principalmente, os sais de ácido láurico e de ácido oleico, ambos ácidos de fórmula geral RCOOH. Para o ácido láurico, R consiste em uma cadeia aberta saturada de 11 átomos de carbono e, para o ácido oleico, em uma cadeia aberta de 17 átomos de carbono com uma insaturação.
Tendo como referência as informações acima, julgue o item a seguir.
Considere que a análise das cinzas geradas pela queima da casca do fruto de macaúba tenha evidenciado a presença de 0,040 g de óxido de sódio e 0,044 g de óxido de magnésio. Nesse caso, a massa de sódio presente na casca analisada é superior à massa de magnésio.
Provas

O óleo de macaúba tem despertado grande interesse comercial devido à sua aplicabilidade nas indústrias farmacêutica, alimentícia e de biocombustíveis. Esse óleo é formado por moléculas de triglicerídeos, conforme figura acima, em que R representa cadeias hidrocarbônicas que podem ser iguais ou não entre si. Um dos métodos de caracterização das propriedades físicoquímicas de um óleo vegetal é o índice de saponificação, que consiste na quantidade de hidróxido de potássio necessária para reagir, por saponificação, com 1 grama desse óleo. A reação de saponificação do óleo de macaúba forma, principalmente, os sais de ácido láurico e de ácido oleico, ambos ácidos de fórmula geral RCOOH. Para o ácido láurico, R consiste em uma cadeia aberta saturada de 11 átomos de carbono e, para o ácido oleico, em uma cadeia aberta de 17 átomos de carbono com uma insaturação.
Tendo como referência as informações acima, julgue o item a seguir.
A presença de ácidos livres em uma amostra de óleo vegetal pode acarretar um valor superestimado do índice de saponificação desse óleo.
Provas

O óleo de macaúba tem despertado grande interesse comercial devido à sua aplicabilidade nas indústrias farmacêutica, alimentícia e de biocombustíveis. Esse óleo é formado por moléculas de triglicerídeos, conforme figura acima, em que R representa cadeias hidrocarbônicas que podem ser iguais ou não entre si. Um dos métodos de caracterização das propriedades físicoquímicas de um óleo vegetal é o índice de saponificação, que consiste na quantidade de hidróxido de potássio necessária para reagir, por saponificação, com 1 grama desse óleo. A reação de saponificação do óleo de macaúba forma, principalmente, os sais de ácido láurico e de ácido oleico, ambos ácidos de fórmula geral RCOOH. Para o ácido láurico, R consiste em uma cadeia aberta saturada de 11 átomos de carbono e, para o ácido oleico, em uma cadeia aberta de 17 átomos de carbono com uma insaturação.
Tendo como referência as informações acima, julgue o item a seguir.
As fórmulas moleculares do ácido láurico e do ácido oleico são, respectivamente, C12H24O2 e C18H34O2.
Provas

O óleo de macaúba tem despertado grande interesse comercial devido à sua aplicabilidade nas indústrias farmacêutica, alimentícia e de biocombustíveis. Esse óleo é formado por moléculas de triglicerídeos, conforme figura acima, em que R representa cadeias hidrocarbônicas que podem ser iguais ou não entre si. Um dos métodos de caracterização das propriedades físicoquímicas de um óleo vegetal é o índice de saponificação, que consiste na quantidade de hidróxido de potássio necessária para reagir, por saponificação, com 1 grama desse óleo. A reação de saponificação do óleo de macaúba forma, principalmente, os sais de ácido láurico e de ácido oleico, ambos ácidos de fórmula geral RCOOH. Para o ácido láurico, R consiste em uma cadeia aberta saturada de 11 átomos de carbono e, para o ácido oleico, em uma cadeia aberta de 17 átomos de carbono com uma insaturação.
Tendo como referência as informações acima, julgue o item a seguir.
A molécula de ácido láurico apresenta solubilidade em água superior à da molécula de ácido oleico.
Provas
Considere que, ao ligar a fonte de eletricidade para colocar em funcionamento uma célula eletrolítica, o potencial elétrico seja aumentado, gradativamente, desde zero até o valor desejado. Nesse caso, que opção melhor representa o comportamento da corrente elétrica na célula em função do potencial elétrico aplicado?
Provas
A eletrólise de soluções aquosas de NaCl é de grande interesse industrial, pois permite a obtenção de três insumos importantes: cloro, hidrogênio e hidróxido de sódio. O primeiro é empregado principalmente na produção do PVC (policloreto de vinila); o segundo, na hidrogenação de óleos e gorduras; e o último, principalmente na indústria de papel. Considere que a reação a seguir seja a única que ocorre durante a eletrólise aquosa do NaCl.
!$ 2NaCl(aq) + 2H_2O(l) \rightleftharpoons 2NaOH(aq) + H_2(g) + Cl_2(g) !$
Tomando 0,30 como valor aproximado de log102 e supondo que a constante de Faraday seja igual a 96.500 C/mol, que a constante de autoionização da água (Kw) seja igual a 1,0 x 10-14 e que as soluções apresentem comportamento ideal, julgue o item a seguir.
Quando a reação apresentada atinge o equilíbrio químico, o processo de eletrólise, inicialmente espontâneo, apresenta uma diferença de potencial positiva.
Provas
Caderno Container