Foram encontradas 769 questões.
Provas
Considere o Lugar Geométrico das Raizes (LGR) da Figura abaixo.

Considerando-se as informações acima, verifica-se que K = 3 é o ganho
Provas
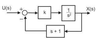
Considere o diagrama de blocos de um sistema de controle.

O fator de amortecimento da malha fechada desse sistema é
Provas
Provas
Uma das possíveis inconsistências que devem ser evitadas são as malhas
Provas
Na Figura abaixo, representa-se o controle exercido na velocidade de um motor CC.

De acordo com a Figura, está sendo empregado o controle pelo(a)
Provas
Nesse cenário, deseja-se que o microcontrolador acesse um byte dessa memória.
Utilizando-se a notação 0x, qual é o maior endereço, em hexadecimal, para o microcontrolador realizar esse acesso?
Dado 1 kB = 1 kilobyte = 1024 bytes
Provas
Considere o trecho de código na linguagem C, descrito abaixo.
int Teste[5] = {4,2,10,4,5};
int SomaQ = 0;
int i;
for (i=0;i<5;i++) {
"código a ser incluído aqui"
} /* for */
Qual código deve ser incluído na linha indicada entre aspas (" ") para que a variável SomaQ assuma o valor da soma dos quadrados dos números contidos no vetor Teste quando terminar o loop?
Provas
Provas
Considere que o circuito abaixo é formado por resistores.

O valor, em Ω, da resistência equivalente vista entre os terminais X e Y é
Provas
Caderno Container