Magna Concursos

Foram encontradas 658 questões.

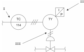
613797 Ano: 2019
Disciplina: Engenharia Mecatrônica
Banca: FCC
Orgão: SANASA-Campinas

No projeto de automação consta uma malha de controle, conforme figura abaixo.

enunciado 613797-1

Os elementos indicados em I, II e III, são, correta e respectivamente:

 

Provas

Questão presente nas seguintes provas
613796 Ano: 2019
Disciplina: Engenharia Mecatrônica
Banca: FCC
Orgão: SANASA-Campinas
Em um sistema supervisório que se destina a capturar e armazenar, em um banco de dados, informações sobre um processo de produção, as informações são geradas em tempo real e permite identificar falhas. Essa condição de gerenciamento é que permite, sobretudo,
 

Provas

Questão presente nas seguintes provas
613795 Ano: 2019
Disciplina: Engenharia Mecatrônica
Banca: FCC
Orgão: SANASA-Campinas
Os Dispositivos de Proteção Contra Surto (DPS) devem ser ligados a cada condutor de base, de um lado e ao condutor neutro, de outro, e ainda ao condutor neutro, de um lado, e ao barramento de equipotencialização principal (BEP) ou barramento do condutor de proteção PE do quadro. O esquema em que esta descrição está representada corretamente é
 

Provas

Questão presente nas seguintes provas
613794 Ano: 2019
Disciplina: Engenharia Mecatrônica
Banca: FCC
Orgão: SANASA-Campinas
É certo que a integração de instrumentação e sistemas oferece um excelente custo-benefício, aumentando a eficiência do negócio e alavanca a rentabilidade da indústria em relação aos seus processos. Na prática, a grande dificuldade da integração de instrumentação e sistemas nas indústrias ocorre em função
 

Provas

Questão presente nas seguintes provas
613793 Ano: 2019
Disciplina: Engenharia Mecatrônica
Banca: FCC
Orgão: SANASA-Campinas
Uma interface homem-máquina, ou IHM como é conhecida, apresenta uma aplicabilidade para que homem e máquina possam se comunicar. Quando a demanda do sistema supervisório exige melhores resultados em conectividade, acesso remoto, gráficos e flexibilidade na sua aplicação, a IHM recomendada é a caracterizada por
 

Provas

Questão presente nas seguintes provas
613792 Ano: 2019
Disciplina: Engenharia Mecatrônica
Banca: FCC
Orgão: SANASA-Campinas
Em todos os quadros elétricos, pode-se projetar sistema de proteção contra surto de tensão com zona de proteção contra sobretensões. Assim procedendo, há que se estabelecer que a tensão residual dos protetores
 

Provas

Questão presente nas seguintes provas
613791 Ano: 2019
Disciplina: Engenharia Mecatrônica
Banca: FCC
Orgão: SANASA-Campinas

Sobre rede de comunicação, pode-se integrar os CLP’s a dispositivos inteligentes como:

I. Controladores de solda.

II. Robôs.

III. Terminais de válvulas.

IV. Balanças.

Está correto o que consta em

 

Provas

Questão presente nas seguintes provas
613790 Ano: 2019
Disciplina: Engenharia Mecatrônica
Banca: FCC
Orgão: SANASA-Campinas

Considere a figura abaixo.

enunciado 613790-1

O elemento utilizado em sistemas de movimentação de fluído, composto de uma chapa metálica, perfurada de forma precisa e calculada, a qual é instalada perpendicularmente ao eixo da tubulação, entre flanges, é denominado

 

Provas

Questão presente nas seguintes provas
613789 Ano: 2019
Disciplina: Engenharia Mecatrônica
Banca: FCC
Orgão: SANASA-Campinas
Dentre os conceitos que envolve a calibração de transmissores de pressão, encontra-se a suspensão do zero que é
 

Provas

Questão presente nas seguintes provas
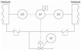
613788 Ano: 2019
Disciplina: Engenharia Mecatrônica
Banca: FCC
Orgão: SANASA-Campinas

Considere o esquema ilustrado abaixo.

enunciado 613788-1

A válvula de saída de tanque “LV”, se abrirá conforme requerido pelos controladores de nível, por meio

 

Provas

Questão presente nas seguintes provas