Foram encontradas 6.626 questões.
Um gerente deseja, para encerrar formalmente seu projeto, finalizar todas as atividades em todos os grupos de processos. Segundo o PMBOK, é nesse momento que ocorre o(a)
Provas
Questão presente nas seguintes provas
Na Gerência de Projetos, um planejamento tido como bem estruturado é aquele que primeiramente define quais atividades devem ser realizadas. Nesse contexto, considere:
"A definição da atividade deve conter um descritivo sobre ela, devidamente justificado, uma vez que as pessoas precisam saber o motivo da existência de tais atividades, quais os recursos humanos que nelas serão alocados, em que ordem elas devem ser realizadas, quais técnicas ou recursos devem ser empregados e o local de sua realização."
Na afirmação acima, os elementos que permitirão estimar quanto será despendido em cada atividade, tanto nas fases quanto no projeto como um todo, em termos de tempo e custo, estão subentendidos, sucessivamente, na matriz
"A definição da atividade deve conter um descritivo sobre ela, devidamente justificado, uma vez que as pessoas precisam saber o motivo da existência de tais atividades, quais os recursos humanos que nelas serão alocados, em que ordem elas devem ser realizadas, quais técnicas ou recursos devem ser empregados e o local de sua realização."
Na afirmação acima, os elementos que permitirão estimar quanto será despendido em cada atividade, tanto nas fases quanto no projeto como um todo, em termos de tempo e custo, estão subentendidos, sucessivamente, na matriz
Provas
Questão presente nas seguintes provas
Analise o texto abaixo.
A tarefa de planejamento de projeto gera alguns produtos, como por exemplo, e .
Assinale a alternativa que preenche corretamente as lacunas do texto.
Provas
Questão presente nas seguintes provas
O PMBOK Guide, 3ª. edição, é dividido em nove áreas de gerenciamento de projetos, tal como a área responsável por garantir que os produtos ou serviços estão de acordo com o solicitado pelo cliente, a qual é chamada de gerência de:
Provas
Questão presente nas seguintes provas
Um projeto PERT-CPM possui três caminhos. A-B-C tem um comprimento de 38 dias, A-D-C tem um comprimento de 15, dias, e A-E-C tem um comprimento de 20 dias.
Qual das seguintes afirmações é verdadeira?
Provas
Questão presente nas seguintes provas
A última fase de um projeto é o
Provas
Questão presente nas seguintes provas
O PMBOK define cinco grupos de processos de gerenciamento de projetos, que são:
Provas
Questão presente nas seguintes provas
Acerca dos conhecimentos relativos ao gerenciamento de projetos, assinale a opção que apresenta uma característica de um projeto.
Provas
Questão presente nas seguintes provas
Os processos do gerenciamento de projetos organizam e descrevem sua realização e são divididos em grupos de processos. Em um desses grupos, são feitas análises para averiguar se o projeto está seguindo o planejado. Caso sejam detectados desvios, será aplicada ação corretiva para colocar as atividades de acordo com o plano do projeto. Essa descrição refere-se ao grupo de processo denominado
Provas
Questão presente nas seguintes provas
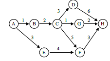
Em um projeto, no diagrama de Pert/CPM da figura, os eventos estão representados por círculos e a duração das atividades entre eventos, em semanas, é dada ao lado das setas. É correto afirmar que o tempo mínimo de conclusão desse projeto, em semanas, é

Provas
Questão presente nas seguintes provas
Cadernos
Caderno Container