Magna Concursos

Foram encontradas 6.567 questões.

53930 Ano: 2005
Disciplina: Gerência de Projetos
Banca: ESAF
Orgão: MPO

Com relação aos conceitos básicos de Gerenciamento de Projetos é correto afirmar que

 

Provas

Questão presente nas seguintes provas
45680 Ano: 2005
Disciplina: Gerência de Projetos
Banca: FCC
Orgão: TCE-PI

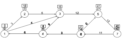
Instruções: Para responder à questão considere a figura e os dados abaixo.

A figura representa uma rede PERT de eventos.

Enunciado 3856965-1

Enunciado 3856965-2

i , j = eventos

teij = duração de atividade

TE = data mais cedo

TL = data mais tarde

A questão de números refere-se à suposição de que tenha havido um atraso de 10 dias na atividade 1-2 e um atraso de 13 dias na atividade 4-6.

A nova "data mais cedo" para atingir-se o evento 7 é

 

Provas

Questão presente nas seguintes provas
45635 Ano: 2005
Disciplina: Gerência de Projetos
Banca: FCC
Orgão: TCE-PI

Instruções: Para responder à questão considere a figura e os dados abaixo.

A figura representa uma rede PERT de eventos.

Enunciado 3836282-1

Enunciado 3836282-2

i , j = eventos

teij = duração de atividade

TE = data mais cedo

TL = data mais tarde

A questão de números refere-se à suposição de que tenha havido um atraso de 10 dias na atividade 1-2 e um atraso de 13 dias na atividade 4-6.

Se a "data mais tarde" para se atingir o evento 7 for fixada em 55 dias, a nova "data mais tarde" para se iniciar o evento 6 é

 

Provas

Questão presente nas seguintes provas
45602 Ano: 2005
Disciplina: Gerência de Projetos
Banca: FCC
Orgão: TCE-PI

Instruções: Para responder à questão considere a figura e os dados abaixo.

A figura representa uma rede PERT de eventos.

Enunciado 3825289-1

Enunciado 3825289-2

i , j = eventos

teij = duração de atividade

TE = data mais cedo

TL = data mais tarde

O Caminho Crítico é

 

Provas

Questão presente nas seguintes provas
990435 Ano: 2005
Disciplina: Gerência de Projetos
Banca: ESAF
Orgão: RFB
Segundo o PMBOK, a gerência das aquisições do projeto inclui os processos necessários à obtenção de bens e serviços externos à organização executora. Essa gerência é discutida no PMBOK do ponto de vista do comprador, na relação comprador-fornecedor. Com relação aos processos da Gerência das aquisições do projeto, é correto afirmar que
Questão Desatualizada

Provas

Questão presente nas seguintes provas
54110 Ano: 2005
Disciplina: Gerência de Projetos
Banca: ESAF
Orgão: MPO

O desenvolvimento do Plano do Projeto utiliza as saídas dos outros processos para criar um documento consistente e coerente que possa ser usado para guiar tanto a execução quanto o controle do projeto. Entre suas diversas funcionalidades, o Plano do Projeto é usado para prover

Questão Desatualizada

Provas

Questão presente nas seguintes provas
Um projeto se desenvolve em cinco etapas básicas.
Assinale a opção que indica corretamente essas etapas.
 

Provas

Questão presente nas seguintes provas
2367460 Ano: 2004
Disciplina: Gerência de Projetos
Banca: ESAF
Orgão: IRB Brasil RE
Provas:
O nível de autoridade de um gerente de projeto é determinado pela estrutura organizacional da entidade onde ele trabalha. Para determinar o tipo de organização em que se trabalha, deve-se avaliar quanta autoridade a diretoria pretende delegar aos gerentes de projeto. Neste caso, os gerentes de projeto terão autoridade máxima na organização que adota a estrutura organizacional do tipo
 

Provas

Questão presente nas seguintes provas
2367412 Ano: 2004
Disciplina: Gerência de Projetos
Banca: ESAF
Orgão: IRB Brasil RE
Provas:
Durante o gerenciamento de um projeto, o Gerenciamento de Suprimentos ou Aquisições tem como objetivo dar garantia ao projeto de que toda entidade externa participante irá garantir o fornecimento de seu produto ou serviço para o mesmo. A avaliação das cotações e das propostas recebidas, segundo critérios definidos no plano de suprimentos, e a conversão das propostas selecionadas em efetivos contratos são responsabilidades do processo
 

Provas

Questão presente nas seguintes provas
2367405 Ano: 2004
Disciplina: Gerência de Projetos
Banca: ESAF
Orgão: IRB Brasil RE
Provas:
A Área de Conhecimento para o Gerenciamento de Projetos, segundo o PMBOK, responsável pelos processos de seqüenciamento e definição das atividades, é denominada Gerenciamento
 

Provas

Questão presente nas seguintes provas