Magna Concursos

Foram encontradas 949 questões.

Tomando por base a identificação universal de tipos de processos de negócios, o tipo secundário é aquele que
 

Provas

Questão presente nas seguintes provas
Com base nos conceitos da abordagem por processos, assinale a opção correta.
 

Provas

Questão presente nas seguintes provas
Maria utilizou a notação BPMN para modelar o processo de negócio do departamento DEPTO1 da organização ORG_A, conforme figura abaixo.

Enunciado 4443046-1
Considerando a notação BPMN, é correto afirmar que:
 

Provas

Questão presente nas seguintes provas

Joana, gestora de processos de negócio, é responsável por otimizar os processos do MPU. Com base no CBOK 4.0, na primeira fase do seu trabalho, Joana definiu a seguinte tarefa:

• identificar interfaces entre processos em que o trabalho ou a informação passam de um departamento para outro, o que pode gerar atrasos na execução do processo, além de distorções ou perdas de informações.

Para executar essa tarefa, Joana deve identificar:

 

Provas

Questão presente nas seguintes provas
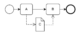
A analista de processos de negócio Ana está modelando as entradas e saídas de dados de diversas atividades dos processos do MPU com a notação BPMN, que permite uma comunicação padronizada entre os participantes dos processos. Para isso, Ana está utilizando associação de dados (Data Association) com a seguinte representação.

Enunciado 4443024-1
Como consequência, os diagramas estão ficando muito grandes e visualmente poluídos, o que impacta a sua comunicação. No BPMN, para representar as mesmas relações de entrada e saída das atividades limpando o diagrama e reduzindo a poluição visual, Ana deve usar a notação:
 

Provas

Questão presente nas seguintes provas
3688314 Ano: 2025
Disciplina: Modelagem de Processos de Negócio (BPM)
Banca: CESPE / CEBRASPE
Orgão: MPE-CE
Provas:

A respeito de BPM (business process management), julgue o item que se segue.

No contexto de BPM, a modelagem de processos de negócio é essencial para entender e otimizar os processos organizacionais, pois permite uma visão clara das atividades e dos fluxos de trabalho.

 

Provas

Questão presente nas seguintes provas
3688313 Ano: 2025
Disciplina: Modelagem de Processos de Negócio (BPM)
Banca: CESPE / CEBRASPE
Orgão: MPE-CE
Provas:

A respeito de BPM (business process management), julgue o item que se segue.

A simulação de processos de negócio utilizada no BPM é baseada em uma representação estática dos processos, o que impede a análise dinâmica e em tempo real das atividades.

 

Provas

Questão presente nas seguintes provas
3688312 Ano: 2025
Disciplina: Modelagem de Processos de Negócio (BPM)
Banca: CESPE / CEBRASPE
Orgão: MPE-CE
Provas:

A respeito de BPM (business process management), julgue o item que se segue.

Os modelos to-be em BPM representam o estado futuro desejado dos processos de negócio, e são utilizados para identificar as melhorias e planejar a implementação de mudanças.

 

Provas

Questão presente nas seguintes provas
3687956 Ano: 2025
Disciplina: Modelagem de Processos de Negócio (BPM)
Banca: CESPE / CEBRASPE
Orgão: MPE-CE

Acerca de gestão de projetos e de gestão de processos, julgue o item subsequente.

A fim de que haja melhoria de processos na interação entre sistemas, é necessário que os handoffs sejam estruturados para assegurar a confiabilidade no repasse de informações.

 

Provas

Questão presente nas seguintes provas
3687955 Ano: 2025
Disciplina: Modelagem de Processos de Negócio (BPM)
Banca: CESPE / CEBRASPE
Orgão: MPE-CE

Acerca de gestão de projetos e de gestão de processos, julgue o item subsequente.

Na perspectiva de BPM, as pessoas que estão envolvidas em processos que se encadeiam ou que se apoiam na geração de valor da organização são consideradas clientes internos.

 

Provas

Questão presente nas seguintes provas