Foram encontradas 949 questões.
4023475
Ano: 2026
Disciplina: Modelagem de Processos de Negócio (BPM)
Banca: FGV
Orgão: AMAZUL
Disciplina: Modelagem de Processos de Negócio (BPM)
Banca: FGV
Orgão: AMAZUL
Provas:
Em estruturas organizacionais orientadas para processos, um dos
primeiros passos é identificar quais processos justificam a
existência da empresa — aqueles diretamente responsáveis por
gerar valor ao cliente externo e que representam a razão de ser da
organização. Esses processos lidam com a entrega do produto ou
serviço final e estão ligados ao propósito central do negócio.
Considerando a tipologia de processos organizacionais, o tipo descrito corresponde a
Considerando a tipologia de processos organizacionais, o tipo descrito corresponde a
Provas
Questão presente nas seguintes provas
A gestão por processos consiste na identificação, análise e
melhoria contínua das atividades realizadas pelas organizações,
com o objetivo de aumentar a eficiência, reduzir desperdícios e
assegurar a entrega de valor aos usuários dos serviços públicos.
Nesse sentido, assinale a opção que apresenta o conceito de atividade no âmbito da gestão por processos.
Nesse sentido, assinale a opção que apresenta o conceito de atividade no âmbito da gestão por processos.
Provas
Questão presente nas seguintes provas
Sobre mapeamento de processos,
Provas
Questão presente nas seguintes provas
Ana precisa modelar um processo em que o caminho do fluxo é dividido em dois ou mais caminhos que são executados em paralelo dentro do processo, permitindo que várias atividades sejam executadas simultaneamente, em vez de sequencialmente.
Para isso, utilizando a notação BPMN, Ana deve usar um:
Para isso, utilizando a notação BPMN, Ana deve usar um:
Provas
Questão presente nas seguintes provas
Juliana está mapeando os processos do seu departamento que contêm muitas atividades com transações de dados.
Para representar uma entrada de dados de uma tarefa, utilizando o BPMN, Juliana deve utilizar:
Para representar uma entrada de dados de uma tarefa, utilizando o BPMN, Juliana deve utilizar:
Provas
Questão presente nas seguintes provas
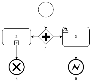
Observe o diagrama BPMN a seguir.
O elemento que representa um gateway paralelo é:
O elemento que representa um gateway paralelo é:
Provas
Questão presente nas seguintes provas
Uma empresa de e-commerce está automatizando seu processo de liberação de pedidos de forma que se integre com os dados de estoque, pagamento e logística.
Após um estudo sobre o assunto, a equipe de automação identificou, como solução mais adequada para modelar fluxos, a necessidade de aplicar as regras de negócios e executar o monitoramento de indicadores em tempo real por meio de:
Após um estudo sobre o assunto, a equipe de automação identificou, como solução mais adequada para modelar fluxos, a necessidade de aplicar as regras de negócios e executar o monitoramento de indicadores em tempo real por meio de:
Provas
Questão presente nas seguintes provas
De acordo com o BPM CBOK 4.0, o desenho de processos é a criação de especificações para processos de negócio novos e modificados.
Os princípios do desenho de processos representam os principais conceitos envolvidos na maioria dos projetos de redesenho de processos.
O princípio do desenho de processo que orienta que se estude o fluxograma AS-IS do processo, para determinar exatamente onde as atividades de agregação de valor são executadas, é o seguinte:
Os princípios do desenho de processos representam os principais conceitos envolvidos na maioria dos projetos de redesenho de processos.
O princípio do desenho de processo que orienta que se estude o fluxograma AS-IS do processo, para determinar exatamente onde as atividades de agregação de valor são executadas, é o seguinte:
Provas
Questão presente nas seguintes provas
O BPM CBOK descreve um conjunto de funções fundamentais para garantir a governança, arquitetura, análise, desenho, implementação e melhoria dos processos.
Quem estabelece uma direção estratégica e desenvolve a visão, missão e os valores essenciais da organização é o:
Quem estabelece uma direção estratégica e desenvolve a visão, missão e os valores essenciais da organização é o:
Provas
Questão presente nas seguintes provas
O Gerenciamento de Processos de Negócio requer medidas, métricas e indicadores de desempenho que permitam monitorar os processos de forma que atendam às suas metas.
De acordo com o BPM CBOK 4.0, é correto afirmar que a métrica do:
De acordo com o BPM CBOK 4.0, é correto afirmar que a métrica do:
Provas
Questão presente nas seguintes provas
Cadernos
Caderno Container