Magna Concursos

Foram encontradas 1.455 questões.

2300243 Ano: 2018
Disciplina: Matemática
Banca: CESPE / CEBRASPE
Orgão: ABIN
Na investigação de atividade suspeita, uma agência de inteligência pretende utilizar um microdrone para filmagens e captura de som ambiente. Dissimuladamente, o microdrone deverá realizar voos de insetos, como moscas ou abelhas. Para esse fim, um protótipo foi criado pela equipe técnica: inicialmente ele deveria voar segundo a trajetória descrita pela curva parametrizada diferenciável de R³ definida por: Enunciado 3586083-1 em que t !$ \in !$ R indica o tempo em segundos, e as distâncias são dadas em metros.
Considerando essa situação hipotética, julgue o item que se segue.
A curva c(t) está parametrizada pelo comprimento de arco.
 

Provas

Questão presente nas seguintes provas
2300242 Ano: 2018
Disciplina: Matemática
Banca: CESPE / CEBRASPE
Orgão: ABIN
Na investigação de atividade suspeita, uma agência de inteligência pretende utilizar um microdrone para filmagens e captura de som ambiente. Dissimuladamente, o microdrone deverá realizar voos de insetos, como moscas ou abelhas. Para esse fim, um protótipo foi criado pela equipe técnica: inicialmente ele deveria voar segundo a trajetória descrita pela curva parametrizada diferenciável de R³ definida por: Enunciado 3586082-1 em que t !$ \in !$ R indica o tempo em segundos, e as distâncias são dadas em metros.
Considerando essa situação hipotética, julgue o item que se segue.
A curva c(t) é regular.
 

Provas

Questão presente nas seguintes provas
2300241 Ano: 2018
Disciplina: Matemática
Banca: CESPE / CEBRASPE
Orgão: ABIN
Na investigação de atividade suspeita, uma agência de inteligência pretende utilizar um microdrone para filmagens e captura de som ambiente. Dissimuladamente, o microdrone deverá realizar voos de insetos, como moscas ou abelhas. Para esse fim, um protótipo foi criado pela equipe técnica: inicialmente ele deveria voar segundo a trajetória descrita pela curva parametrizada diferenciável de R³ definida por: Enunciado 3586081-1 em que t !$ \in !$ R indica o tempo em segundos, e as distâncias são dadas em metros.
Considerando essa situação hipotética, julgue o item que se segue.
O traço da curva c(t) está contido em um plano R³.
 

Provas

Questão presente nas seguintes provas
2300240 Ano: 2018
Disciplina: Matemática
Banca: CESPE / CEBRASPE
Orgão: ABIN
Na investigação de atividade suspeita, uma agência de inteligência pretende utilizar um microdrone para filmagens e captura de som ambiente. Dissimuladamente, o microdrone deverá realizar voos de insetos, como moscas ou abelhas. Para esse fim, um protótipo foi criado pela equipe técnica: inicialmente ele deveria voar segundo a trajetória descrita pela curva parametrizada diferenciável de R³ definida por: Enunciado 3586080-1 em que t !$ \in !$ R indica o tempo em segundos, e as distâncias são dadas em metros.
Considerando essa situação hipotética, julgue o item que se segue.
Seguindo a trajetória indicada pela curva c(t), o microdrone estará sempre a um metro de distância da origem do sistema de coordenadas cartesianas no qual a parametrização foi escolhida.
 

Provas

Questão presente nas seguintes provas
2300239 Ano: 2018
Disciplina: Matemática
Banca: CESPE / CEBRASPE
Orgão: ABIN
O relatório de inteligência elaborado por um agente registra que o suspeito investigado, quando frequenta determinado restaurante, sempre ocupa uma de três mesas, localizadas, segundo um sistema de coordenadas cartesianas ortogonais imaginário, nos pontos A = (2, 3), B = (7, 2) e C = (5, 6). Para aumentar as chances de capturar as conversas do investigado, independentemente da mesa por ele escolhida entre essas três, será colocado um ponto eletrônico de escuta em um ponto P = (x, y), de modo que a soma dos quadrados das distâncias de P às mesas A, B e C seja mínima.
A partir dessa situação hipotética, julgue o item a seguir.
Considerando-se 7,2 como valor aproximado para !$ \sqrt {52} !$, é correto afirmar que, no triângulo ABC, o ângulo correspondente ao vértice A é menor que 60º.
 

Provas

Questão presente nas seguintes provas
2300238 Ano: 2018
Disciplina: Matemática
Banca: CESPE / CEBRASPE
Orgão: ABIN
O efetivo de uma agência de inteligência é formado por 30 oficiais de inteligência, 70 agentes de inteligência e 40 analistas. Para redigir um relatório operacional são necessários 3 oficiais de inteligência, 8 agentes de inteligência e 1 analista; para o acompanhamento de investigado, são necessários 2 oficiais, 2 agentes e 4 analistas. Cada relatório operacional gera, para a agência, R$ 5.000 de resultado financeiro, e cada acompanhamento de investigado, R$ 3.000.
A partir dessa situação hipotética, julgue o item seguinte.
O maior resultado financeiro passível de ser obtido pela agência é inferior a R$ 50.000.
 

Provas

Questão presente nas seguintes provas
2300237 Ano: 2018
Disciplina: Matemática
Banca: CESPE / CEBRASPE
Orgão: ABIN
A respeito de aproximação numérica de integrais definidas, julgue o item subsequente.
O valor aproximado da integral da função f(x) = sen 2x, no intervalo !$ \left [0, \dfrac{\pi}{2} \right ] \quad !$, calculado pela regra de Simpson usando-se um único arco da parábola que passa pelos pontos de abscissas !$ x= 0, x = \dfrac {\pi} {4} !$ e !$ x = \dfrac {\pi} {2} !$, é igual a !$ \dfrac {\pi} {3} !$.
 

Provas

Questão presente nas seguintes provas
2300236 Ano: 2018
Disciplina: Matemática
Banca: CESPE / CEBRASPE
Orgão: ABIN
Julgue o item seguinte, a respeito de números complexos e funções de variáveis complexas.
No plano complexo, os números complexos z que satisfazem à equação |z| = |z + 1| estão sobre a circunferência de centro na origem e de raio !$ \dfrac {1} {2} !$.
 

Provas

Questão presente nas seguintes provas
2300235 Ano: 2018
Disciplina: Matemática
Banca: CESPE / CEBRASPE
Orgão: ABIN
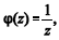
Julgue o item seguinte, a respeito de números complexos e funções de variáveis complexas.
A função de variável complexa Enunciado 3586066-1para !$ z \neq 0 !$, transforma os pontos afixos da circunferência dada por !$ |z - i| = 1 (z \neq 0) !$ em pontos de uma reta perpendicular ao eixo imaginário.
 

Provas

Questão presente nas seguintes provas
2300234 Ano: 2018
Disciplina: Engenharia Eletrônica
Banca: CESPE / CEBRASPE
Orgão: ABIN
Em relação aos sistemas digitais, julgue o próximo item.
Em um flip-flop D, quando a entrada J = 0, K = 1.
 

Provas

Questão presente nas seguintes provas