Foram encontradas 80 questões.

O ângulo APT mede
Provas
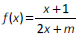
Considere a função real f definida por
e sua inversa f -1.
Se f -1 (2) = 5 , o valor de m é
Provas
Provas
Em uma caixa há N bolas, das quais 8% são brancas e as demais são pretas. Retiram-se da caixa certo número de bolas pretas, de tal forma que agora as bolas brancas representam 40% das bolas que estão na caixa.
O número de bolas pretas que foram retiradas da caixa representa
Provas
Em um grupo de 10 deputados, 6 são do Partido A e 4 são do Partido B. Serão sorteados 2 desses 10 deputados, aleatoriamente.
A probabilidade de os 2 deputados sorteados serem do Partido B é
Provas
A distância de P até Q mede
Provas
Texto 1.
Observação
Vivemos tão apressados que estamos perdendo a habilidade de observar detalhadamente o que nos cerca. Por outro lado, somos tão bombardeados por imagens e por estímulos visuais que, para nos proteger do excesso, aprendemos a não perceber o que está em volta, aprendemos a nos proteger. Por isso, a propaganda fica cada vez mais agressiva. Os produtos precisam, a qualquer custo, chamar a atenção do possível comprador, até que sejamos capazes de “ver sem olhar”. Ou seja, mesmo sem estarmos interessados, não podemos escapar de perceber uma imagem de propaganda.
Isso nos tem levado à autoproteção ou a uma atitude passiva, já que não é preciso fazer nenhum esforço, pois a propaganda e as imagens se encarregam de nos invadir.
Entretanto, para apreciar a arte e saber ler imagens, uma primeira habilidade que precisamos renovar, estimular e desenvolver é a observação. Ela deve deixar de ser passiva para tornar-se ativa, voluntária: observo o que quero, porque quero, como quero, da forma que quero, quando quero observar.
Se pedirmos a um amigo que descreva alguém, ele pode dizer genericamente: alto, magro, de meia-idade: ou então ser bem específico: tem aproximadamente 1 metro e oitenta, é magro, está vestido com uma calça azul, camisa branca, tênis, jaqueta de couro marrom, tem cabelos escuros, encaracolados, curtos, olhos azuis, usa costeletas, tem um sinal escuro do lado direito do rosto e cerca de 40 anos.
Essa segunda descrição é mais detalhada e demonstra mais observação. Naturalmente, se eu estiver procurando tal pessoa, a partir dessa descrição detalhada, posso encontrá-la com mais facilidade.
OLIVEIRA, J. e GARCEZ, L. Explicando a Arte. Ed. Nova Fronteira. 2001.
“Essa segunda descrição é mais detalhada e demonstra mais observação. Naturalmente, se eu estiver procurando tal pessoa, a partir dessa descrição detalhada, posso encontrá-la com mais facilidade.”
Assinale o termo desse fragmento do texto que não estabelece qualquer ligação coesiva com um termo antecedente.
Provas
Texto 1.
Observação
Vivemos tão apressados que estamos perdendo a habilidade de observar detalhadamente o que nos cerca. Por outro lado, somos tão bombardeados por imagens e por estímulos visuais que, para nos proteger do excesso, aprendemos a não perceber o que está em volta, aprendemos a nos proteger. Por isso, a propaganda fica cada vez mais agressiva. Os produtos precisam, a qualquer custo, chamar a atenção do possível comprador, até que sejamos capazes de “ver sem olhar”. Ou seja, mesmo sem estarmos interessados, não podemos escapar de perceber uma imagem de propaganda.
Isso nos tem levado à autoproteção ou a uma atitude passiva, já que não é preciso fazer nenhum esforço, pois a propaganda e as imagens se encarregam de nos invadir.
Entretanto, para apreciar a arte e saber ler imagens, uma primeira habilidade que precisamos renovar, estimular e desenvolver é a observação. Ela deve deixar de ser passiva para tornar-se ativa, voluntária: observo o que quero, porque quero, como quero, da forma que quero, quando quero observar.
Se pedirmos a um amigo que descreva alguém, ele pode dizer genericamente: alto, magro, de meia-idade: ou então ser bem específico: tem aproximadamente 1 metro e oitenta, é magro, está vestido com uma calça azul, camisa branca, tênis, jaqueta de couro marrom, tem cabelos escuros, encaracolados, curtos, olhos azuis, usa costeletas, tem um sinal escuro do lado direito do rosto e cerca de 40 anos.
Essa segunda descrição é mais detalhada e demonstra mais observação. Naturalmente, se eu estiver procurando tal pessoa, a partir dessa descrição detalhada, posso encontrá-la com mais facilidade.
OLIVEIRA, J. e GARCEZ, L. Explicando a Arte. Ed. Nova Fronteira. 2001.
Provas
- OrtografiaPontuaçãoVírgula
- SemânticaSinônimos e Antônimos
- Interpretação de TextosSubstituição/Reescritura de Texto
Texto 1.
Observação
Vivemos tão apressados que estamos perdendo a habilidade de observar detalhadamente o que nos cerca. Por outro lado, somos tão bombardeados por imagens e por estímulos visuais que, para nos proteger do excesso, aprendemos a não perceber o que está em volta, aprendemos a nos proteger. Por isso, a propaganda fica cada vez mais agressiva. Os produtos precisam, a qualquer custo, chamar a atenção do possível comprador, até que sejamos capazes de “ver sem olhar”. Ou seja, mesmo sem estarmos interessados, não podemos escapar de perceber uma imagem de propaganda.
Isso nos tem levado à autoproteção ou a uma atitude passiva, já que não é preciso fazer nenhum esforço, pois a propaganda e as imagens se encarregam de nos invadir.
Entretanto, para apreciar a arte e saber ler imagens, uma primeira habilidade que precisamos renovar, estimular e desenvolver é a observação. Ela deve deixar de ser passiva para tornar-se ativa, voluntária: observo o que quero, porque quero, como quero, da forma que quero, quando quero observar.
Se pedirmos a um amigo que descreva alguém, ele pode dizer genericamente: alto, magro, de meia-idade: ou então ser bem específico: tem aproximadamente 1 metro e oitenta, é magro, está vestido com uma calça azul, camisa branca, tênis, jaqueta de couro marrom, tem cabelos escuros, encaracolados, curtos, olhos azuis, usa costeletas, tem um sinal escuro do lado direito do rosto e cerca de 40 anos.
Essa segunda descrição é mais detalhada e demonstra mais observação. Naturalmente, se eu estiver procurando tal pessoa, a partir dessa descrição detalhada, posso encontrá-la com mais facilidade.
OLIVEIRA, J. e GARCEZ, L. Explicando a Arte. Ed. Nova Fronteira. 2001.
Provas
Texto 1.
Observação
Vivemos tão apressados que estamos perdendo a habilidade de observar detalhadamente o que nos cerca. Por outro lado, somos tão bombardeados por imagens e por estímulos visuais que, para nos proteger do excesso, aprendemos a não perceber o que está em volta, aprendemos a nos proteger. Por isso, a propaganda fica cada vez mais agressiva. Os produtos precisam, a qualquer custo, chamar a atenção do possível comprador, até que sejamos capazes de “ver sem olhar”. Ou seja, mesmo sem estarmos interessados, não podemos escapar de perceber uma imagem de propaganda.
Isso nos tem levado à autoproteção ou a uma atitude passiva, já que não é preciso fazer nenhum esforço, pois a propaganda e as imagens se encarregam de nos invadir.
Entretanto, para apreciar a arte e saber ler imagens, uma primeira habilidade que precisamos renovar, estimular e desenvolver é a observação. Ela deve deixar de ser passiva para tornar-se ativa, voluntária: observo o que quero, porque quero, como quero, da forma que quero, quando quero observar.
Se pedirmos a um amigo que descreva alguém, ele pode dizer genericamente: alto, magro, de meia-idade: ou então ser bem específico: tem aproximadamente 1 metro e oitenta, é magro, está vestido com uma calça azul, camisa branca, tênis, jaqueta de couro marrom, tem cabelos escuros, encaracolados, curtos, olhos azuis, usa costeletas, tem um sinal escuro do lado direito do rosto e cerca de 40 anos.
Essa segunda descrição é mais detalhada e demonstra mais observação. Naturalmente, se eu estiver procurando tal pessoa, a partir dessa descrição detalhada, posso encontrá-la com mais facilidade.
OLIVEIRA, J. e GARCEZ, L. Explicando a Arte. Ed. Nova Fronteira. 2001.
O segmento ´ver sem olhar´ mostra
Provas
Caderno Container