Foram encontradas 80 questões.
Texto 1.
Observação
Vivemos tão apressados que estamos perdendo a habilidade de observar detalhadamente o que nos cerca. Por outro lado, somos tão bombardeados por imagens e por estímulos visuais que, para nos proteger do excesso, aprendemos a não perceber o que está em volta, aprendemos a nos proteger. Por isso, a propaganda fica cada vez mais agressiva. Os produtos precisam, a qualquer custo, chamar a atenção do possível comprador, até que sejamos capazes de “ver sem olhar”. Ou seja, mesmo sem estarmos interessados, não podemos escapar de perceber uma imagem de propaganda.
Isso nos tem levado à autoproteção ou a uma atitude passiva, já que não é preciso fazer nenhum esforço, pois a propaganda e as imagens se encarregam de nos invadir.
Entretanto, para apreciar a arte e saber ler imagens, uma primeira habilidade que precisamos renovar, estimular e desenvolver é a observação. Ela deve deixar de ser passiva para tornar-se ativa, voluntária: observo o que quero, porque quero, como quero, da forma que quero, quando quero observar.
Se pedirmos a um amigo que descreva alguém, ele pode dizer genericamente: alto, magro, de meia-idade: ou então ser bem específico: tem aproximadamente 1 metro e oitenta, é magro, está vestido com uma calça azul, camisa branca, tênis, jaqueta de couro marrom, tem cabelos escuros, encaracolados, curtos, olhos azuis, usa costeletas, tem um sinal escuro do lado direito do rosto e cerca de 40 anos.
Essa segunda descrição é mais detalhada e demonstra mais observação. Naturalmente, se eu estiver procurando tal pessoa, a partir dessa descrição detalhada, posso encontrá-la com mais facilidade.
OLIVEIRA, J. e GARCEZ, L. Explicando a Arte. Ed. Nova Fronteira. 2001.
Provas
- Gerenciamento de MemóriaIntrodução ao Gerenciamento de Memória
- Gerenciamento de MemóriaMemória Virtual (Conceito)
Uma técnica empregada pelo sistema operacional para permitir que processos não carregados na memória principal sejam executados, a partir da emulação de uma memória significativamente maior, é
Provas
Disciplina: TI - Organização e Arquitetura dos Computadores
Banca: FGV
Orgão: ALE-RO
Provas
João deseja comprar um apartamento vendido por uma construtora. Como João possuía apenas 50% do valor necessário para a compra do imóvel, optou por dar uma entrada de 50% e financiar o restante do valor através de uma linha de crédito imobiliário disponibilizado por uma determinada instituição bancária.
Nesta modalidade de financiamento, João se compromete a pagar sua dívida em 120 parcelas mensais, definidas a partir de uma certa taxa de juros. Durante o prazo em que perdurar a dívida, o apartamento permanece como propriedade temporária do banco, podendo o banco reavê-lo plenamente, em caso de inadimplência no pagamento das parcelas. Após o pagamento completo da dívida, a propriedade é transferida de maneira plena a João.
A situação em questão é um exemplo de
Provas

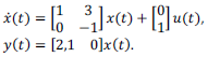
As variáveis de entrada, de saída e o vetor de estado são, respectivamente, u(t), y(t) e x(t) tendo componentes reais e de dimensões compatíveis com as matrizes do sistema.
Utilizando-se uma realimentação negativa, com o vetor x(t) pré multiplicada pela matriz de ganho K = [k1 k2] ∈ R1x2, deseja-se um sistema subamortecido e assintoticamente estável.
Esse desempenho é obtido para os reais K1 e K2 , se
Provas

A expressão simplificada do mapa de Veitch Karnaugh, mostrado acima, é
Provas
A figura a seguir apresenta a tabela verdade de duas portas lógicas.

Provas

Considere que:
• VVA aciona a válvula de entrada de fluído, que permite a entrada de fluído no reservatório quando a tensão em seus terminais é +12V, e permanece fechada caso contrário; • VSE é o sinal de um sensor de pressão no fundo do reservatório, que produz um sinal de 2V para cada metro de coluna de água (mca) do reservatório; • O reservatório é cilíndrico, com área de seção transversal de 10m2 .
Este controle faz o reservatório ter um volume de fluído entre
Provas
Analise as citações que um deles fez para o outro.
I. Se um sistema linear é próprio, mas não é estritamente próprio, então sua representação em Espaço de Estados tem a matriz de transmissão direta (D) nula. II. A representação em Espaço de Estados na forma canônica controlável de um sistema de segunda ordem cuja função de transferência tem o numerador igual ao real k, tem a matriz de saída dada por C = [k 0]. III. Um sistema discreto representado em Espaço de Estados é assintoticamente estável se a norma da matriz de estado (A) é menor que 1.
Sobre essas citações, está correto o que se afirma em
Provas
Para ter um funcionamento adequado este circuito deve permitir a variação total da tensão nos terminais da lâmpada, quando ligado ou desligado, em cerca de 1s, caso contrário o efeito na luminosidade não é perceptível ou se torna longo demais.
A figura a seguir mostra o circuito projetado, em que a lâmpada é modelada como um resistor e está conectada em paralelo com um capacitor.

Considere os valores de componentes mostrados na figura e que a chave ch permanece na posição 2 por um longo tempo.
Quando a chave ch é colocada na posição 1, pode-se concluir que a resposta da tensão nos terminais da lâmpada é
Provas
Caderno Container