Foram encontradas 680 questões.
Provas
Provas
Em relação à reabertura de créditos extraordinários, avalie as seguintes proposições. Os créditos extraordinários podem ser reabertos desde que:
I. tenham sido destinados para atender a despesas imprevisíveis e urgentes, tais como guerra, comoção intestina ou calamidade pública.
II. tenham sido abertos por meio de Medida Provisória do Poder Executivo.
III. tenham sido abertos nos últimos quatro meses do exercício anterior e reabertos nos limites de seus saldos, sendo incorporados ao orçamento do exercício seguinte.
Assinale a opção correta.
Provas
Analise as sentenças a respeito do Ciclo de Vida do Projeto.
I. Por meio do Ciclo de Vida do Projeto, pode-se observar ─ ou criar ─ com antecipação e macroscopicamente o que se quer que aconteça com o projeto.
II. Ao elaborar o Ciclo de Vida de um Projeto, pode-se prever, prioritariamente, o consumo de recursos, etapa por etapa, durante todo o tempo demandado por ele.
III. A elaboração do Ciclo de Vida do Projeto permite elaborar um anteprojeto, um estudo de viabilidade alinhado com o que se pretende desenvolver.
IV. O Ciclo de Vida do Projeto representa desde seu nascimento, seu desenvolvimento e consolidação até seu encerramento.
V. A elaboração do Ciclo de Vida do Projeto é toda desenvolvida na fase I ─ Conceitual. É nessa fase que, procurando entender melhor o que se quer fazer, são definidos os grandes passos e o volume de recursos necessários.
Indique a quantidade de itens corretos.
Provas
Provas
Os 47 processos de gerenciamento de projetos podem ser logicamente agrupados em cinco grupos. Dois desses cinco grupos de processos são
Provas
Provas
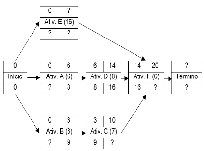
Considere a Figura XX para responder à questão.

Figura XX – Método do Caminho Crítico.
Provas
Considere a Figura XX para responder à questão.

Figura XX – Método do Caminho Crítico.
Provas
Provas
Caderno Container