Foram encontradas 655 questões.
Deseja-se avaliar o comportamento da variável investimento em um conjunto de firmas. Nesse contexto, a partir de uma amostra aleatória de 10 firmas desse conjunto, observam-se. para cada firma !$ i = 1, ...., 10, !$ em cada ano !$ t = 1, ...., 20, !$ as variáveis investimento !$ y_{it} !$ lucro esperado !$ x_{1it} !$ e estoque de capital !$ x_{2it} !$. Para a evolução dos dados, postula-se o seguinte modelo de componentes de erro
!$ y_{it} = \beta_{0i} + \beta_1 x_{1it} + \beta_2 x_{2it} + \in_{it} . !$
As quantidades !$ \beta_1 !$ e !$ \beta_2 !$ são parâmetros e os componentes de erro !$ \in_{it} !$ são não-correlacionados entre firmas e ao longo dos anos para cada firma. Esses componentes apresentam esperança zero e variância constante !$ \sigma_{\in}^2 !$. Os componentes !$ \beta_{0i} !$ têm a representação !$ \beta_{0i} !$!$ = \eta + a !$, em que !$ a !$ é uma constante desconhecida e !$ \eta_1, ..., \eta_{10} !$ formam uma amostra aleatória de uma população com média zero e variância !$ \sigma_{\eta}^2 !$ . As realizações !$ \eta !$, são independentes dos erros !$ \in_{it} !$.
Com relação a essa situação, julgue o item que se segue.
Se !$ \overline {y}_i !$ e a média aritmética das observações !$ y_{it} !$!$ t = 1, ...., 20, !$ então a variância de !$ \overline {y}_i !$, é dada pela expressão ![]()
Provas
Considere um espaço de probabilidade
com uma família de sub-!$ \sigma !$-álgebras
Suponha que cada
contenha-os, eventos de
com !$ P- !$probabilidade nula e que
seja um processo de Wiener. Um processo populacional com taxa de crescimento sujeita ao efeito de uma pertubação aleatória origina um processo estocástico
, definido pela relação

em que !$ r !$ e !$ a !$ são constantes, a segunda integral é definida no sentido de Ito e N0 é uma variável aleatória positiva independente de Wt
Nessas condições, julgue o item seguinte.
![]()
Provas
Considere um modelo de duas equações simultâneas com a seguinte forma estrutural

em que !$ \beta \ne 1 !$, as variáveis endógenas !$ y_{1t} !$ e !$ y_{2t} !$ e a variável exógena !$ x_t !$ são observadas para !$ t = 1,2, ..., n !$ e os erros !$ u_t !$ são variáveis aleatórias independentes com distribuição normal de média zero e variância !$ \sigma^2_u > 0. !$
Assumindo que !$ x_t !$ sejam valores fixos (não-aleatórios) e que a matriz
convirja a uma matriz !$ \sum !$, não singular, julgue o seguinte item.
O coeficiente de correlação entre ![]()
Provas
Considere X um vetor aleatório cuja distribuição !$ P_{\theta} !$ é conhecida a menos de um parâmetro real !$ \theta !$, T = T(X) uma estatística suficiente e !$ \delta=\delta(X) !$ um estimador de !$ \theta !$ com !$ E_{\theta}[L(\theta, \delta(X))] < \infty !$, em que !$ L(\theta, d) !$ é uma função perda, estritamente convexa, e !$ E_{\theta} !$ denota a esperança com respeito à distribuição !$ P_{\theta} !$. Um dos resultados fundamentais na teoria da estimação é o teorema de Rao-Blackwell, que estabelece, no contexto acima, que !$ \eta = \eta (X) !$, definido por !$ \eta (X)=E_{ \theta} [\delta(X)| T=T(x)] !$, é um estimador de !$ \theta !$ tal que, para todo !$ \theta !$
![]()
Em algumas aplicações desse teorema, utiliza-se a hipótese adicional da estatística suficiente T ser completa, o que significa que, se g é mensurável e !$ E_{\theta}[g(T)] \equiv 0 !$ , então !$ P_{\theta}(g(T)=0) \equiv 1 !$.
Com relação à situação descrita, julgue o seguinte item.
Acrescentando às hipóteses do teorema de Rao-Blackwell a hipótese de que a estatística suficiente T seja completa, será possível concluir que existe um estimador não-viesado de variância mínima para !$ \theta !$.
Provas
- Estatística DescritivaMedidas de Tendência CentralMédiasMédia AritméticaMédia Simples (Não Agrupados)
Cliente paga até 10,70% no cheque especial
Uma pesquisa mensal de taxas de juros bancários, feita entre 11 e 12 de janeiro de 2000 pela Fundação PROCON / SP, detectou que a maior taxa mensal do cheque especial chegou a 10,70%, nos bancos Real e Bandeirantes. No caso de empréstimo pessoal, a maior taxa atingiu os 5,50% ao mês, no Itaú e BCN. Nos quatorze bancos pesquisados, a taxa média mensal do cheque especial foi de 9,66% (inferior aos 9,69% de dezembro de 1999), enquanto a do empréstimo pessoal ficou nos 4,85% (em dezembro de 1999, ela foi de 4,98%).
No caso do cheque especial, verificou-se que a menor taxa de juros mensal foi praticada pela Caixa Econômica Federal e, quanto ao empréstimo pessoal, a pesquisa detectou que a menor taxa mensal (4,20%) foi praticada pelo BANESPA.
"Economia". In: Hoje em dia. 20/1/2000 (com adaptações).
Com base nas informações do texto, julgue o item seguinte.
No período da pesquisa, a taxa de juros mensal do cheque especial praticada pela Caixa Econômica Federal foi inferior a 9.5% ao mês.
Provas
Deseja-se avaliar o comportamento da variável investimento em um conjunto de firmas. Nesse contexto, a partir de uma amostra aleatória de 10 firmas desse conjunto, observam-se. para cada firma !$ i = 1, ...., 10, !$ em cada ano !$ t = 1, ...., 20, !$ as variáveis investimento !$ y_{it} !$ lucro esperado !$ x_{1it} !$ e estoque de capital !$ x_{2it} !$. Para a evolução dos dados, postula-se o seguinte modelo de componentes de erro
!$ y_{it} = \beta_{0i} + \beta_1 x_{1it} + \beta_2 x_{2it} + \in_{it} . !$
As quantidades !$ \beta_1 !$ e !$ \beta_2 !$ são parâmetros e os componentes de erro !$ \in_{it} !$ são não-correlacionados entre firmas e ao longo dos anos para cada firma. Esses componentes apresentam esperança zero e variância constante !$ \sigma_{\in}^2 !$. Os componentes !$ \beta_{0i} !$ têm a representação !$ \beta_{0i} !$!$ = \eta + a !$, em que !$ a !$ é uma constante desconhecida e !$ \eta_1, ..., \eta_{10} !$ formam uma amostra aleatória de uma população com média zero e variância !$ \sigma_{\eta}^2 !$ . As realizações !$ \eta !$, são independentes dos erros !$ \in_{it} !$.
Com relação a essa situação, julgue o item que se segue.
Os estimadores de mínimos quadrados de !$ a !$, !$ \beta_1 !$ e !$ \beta_2 !$ são viezados.
Provas
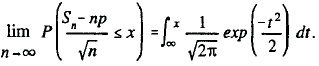
Na questão, a menos que seja explicitamente informado o contrário, para uma matriz !$ A !$ de ordem !$ m \times n !$, a notação !$ A !$ representa a sua transposta, a expressão !$ \ell n(x) !$ denota o logaritmo nepreriano de !$ x !$ e !$ exp(x) = e^x !$.
Considerando !$ X_1, X_2, ..., X_n !$ uma amostra aleatória da distribuição de Bernoulli com parâmetro !$ p \in [0,1], !$ isto é, !$ P(X_i = 0) = p, !$ e definindo !$ S_n = \sum \limits_{i=1}^{\eta} X_i !$, julgue o item a seguir.
Para todo número real !$ x !$, tem-se que

Provas
Um auditor está interessado em estudar a relação entre consumo de gasolina − y, em litros − e distância percorrida em uma cidade − x, em quilômetros − para certo modelo· de carro. Para isso, ele obteve uma amostra de n = 25 carros e registrou a distância percorrida e o consumo de gasolina correspondente, em certo período de tempo. Considere o modelo de regressão !$ y_i = \alpha + bx_i + u_i !$, para !$ i = 1,2 ..., 25 !$, em que os erros !$ u_i !$ são independentes e normalmente distribuídos, com média !$ 0 !$ e desvio-padrão !$ \sigma_u !$, e os 25 pares de valores apresentados no gráfico abaixo.

Com relação à situação apresentada, julgue o seguinte item.
Uma possível interpretação de b, no modelo de regressão acima, é que, para cada litro adicional de consumo, espera-se um aumento de b quilômetros percorridos.
Provas
Considere um modelo de duas equações simultâneas com a seguinte forma estrutural

em que !$ \beta \ne 1 !$, as variáveis endógenas !$ y_{1t} !$ e !$ y_{2t} !$ e a variável exógena !$ x_t !$ são observadas para !$ t = 1,2, ..., n !$ e os erros !$ u_t !$ são variáveis aleatórias independentes com distribuição normal de média zero e variância !$ \sigma^2_u > 0. !$
Assumindo que !$ x_t !$ sejam valores fixos (não-aleatórios) e que a matriz
convirja a uma matriz !$ \sum !$, não singular, julgue o seguinte item.
A equação !$ y_{1t} = a + \beta_{y2t} + u_t !$ do modelo não está identificada.
Provas
Na questão, a menos que seja explicitamente informado o contrário, para uma matriz !$ A !$ de ordem !$ m \times n !$, a notação !$ A !$ representa a sua transposta, a expressão !$ \ell n(x) !$ denota o logaritmo nepreriano de !$ x !$ e !$ exp(x) = e^x !$.
Considerando !$ X_1, X_2, ..., X_n !$ uma amostra aleatória da distribuição de Bernoulli com parâmetro !$ p \in [0,1], !$ isto é, !$ P(X_i = 0) = p, !$ e definindo !$ S_n = \sum \limits_{i=1}^{\eta} X_i !$, julgue o item a seguir.
Considerando a função de perda quadrática e uma distribuição a priori para !$ p !$, unifonne no intervalo !$ [0,1] !$, então !$ \delta (X_1, ..., X_n) = n^{-1} S_n !$ é o estimador bayesiano de !$ p !$.
Provas
Caderno Container