Magna Concursos

Foram encontradas 285 questões.

860454 Ano: 2016
Disciplina: TI - Desenvolvimento de Sistemas
Banca: FCC
Orgão: COPERGÁS-PE
Provas:

O principal negócio de uma empresa é armazenar e devolver combustíveis. A armazenagem ocorre a) por recebimento dutoviário, em que as distribuidoras clientes compram gasolina e GNV que são armazenados nos tanques da empresa; b) por recebimento rodoviário, pelo qual as distribuidoras clientes compram biocombustíveis (biodiesel e etanol) de usinas e o transportam até a empresa. Para armazenar os produtos a distribuidora precisa emitir uma NF − Nota Fiscal de armazenagem.

Considerando o negócio da empresa, a equipe de Analistas de TI iniciou o desenvolvimento de um sistema com uma reunião em que os clientes elegeram os pontos fundamentais do projeto, priorizando a emissão de NFs. Porém, para chegar ao ponto de emitir uma NF, muitas rotinas precisavam ser desenvolvidas, entre elas alguns cadastros essenciais. Após a definição de um layout simples para as telas de cadastro, foram executados testes funcionais e foi entregue a 1ª versão do sistema em 1 semana de trabalho. Os clientes, sempre presentes, iniciaram imediatamente o uso do sistema e deram os feedbacks, solicitando melhorias e novos recursos. No início a entrega de versões era constante, mas depois se estabilizaram em torno de 1 semana, mantendo sempre a comunicação ativa e o respeito. Os analistas usavam muito a refatoração e práticas TDD − Test-Driven Development durante o desenvolvimento.

Pelas características, a metodologia de desenvolvimento utilizada pela equipe de Analistas de TI é:

 

Provas

Questão presente nas seguintes provas
860453 Ano: 2016
Disciplina: TI - Desenvolvimento de Sistemas
Banca: FCC
Orgão: COPERGÁS-PE
Provas:

Considere o algoritmo a seguir, na forma de pseudocódigo:

Var n, i, j, k, x: inteiro
Var v: vetor[0..7] inteiro
Início
  v[0] ← 12
  v[1] ← 145
  v[2] ← 1
  v[3] ← 3
  v[4] ← 67
  v[5] ← 9
  v[6] ← 45
  n ← 8
  k ← 3
  x ← 0
  Para j ← n-1 até k passo -1 faça
    v[j] ← v[j - 1];
  Fim_para
  v[k] ← x;
Fim

Este pseudocódigo

 

Provas

Questão presente nas seguintes provas
860452 Ano: 2016
Disciplina: Psicologia
Banca: FCC
Orgão: COPERGÁS-PE
Provas:
Considere que uma consultoria especializada, contratada para implementar a avaliação do desempenho dos funcionários de uma organização, pretenda aplicar uma das metodologias tradicionais, denominada Incidentes Críticos. De acordo com tal método, o avaliador
 

Provas

Questão presente nas seguintes provas
860451 Ano: 2016
Disciplina: Direito Ambiental
Banca: FCC
Orgão: COPERGÁS-PE
Com base na Legislação Ambiental do Conselho Nacional do Meio Ambiente − CONAMA e na Política Estadual de Resíduos sólidos, considere:
I. Os empreendimentos e atividades poderão receber licenças prévias, de instalação ou de operação, de acordo com a natureza, características e fase do empreendimento ou atividade.
II. A licença ambiental para as empresas consideradas efetivas ou potencialmente causadoras de significativa degradação do meio dependerá de prévio Estudo de Impacto Ambiental − EIA e respectivo Relatório de Impacto Ambiental − RIMA.
III. A política estadual de resíduos sólidos não descreve o incentivo, conscientização e motivação às práticas dos 3R’s (reduzir, reutilizar e reciclar).
IV. A resolução que cita os padrões de cores, CONAMA, descreve somente as cores: azul, vermelho, verde, amarelo, preto, laranja, branco, roxo, marrom e cinza.
V. É uma obrigação à adoção de referido código de cores para programas de coleta seletiva estabelecida pela iniciativa privada, cooperativas, escolas, igrejas, organizações não governamentais e demais entidades interessadas.
Está correto o que se afirma APENAS em
 

Provas

Questão presente nas seguintes provas
860450 Ano: 2016
Disciplina: Direito Ambiental
Banca: FCC
Orgão: COPERGÁS-PE
Provas:
Considere que a companhia de saneamento básico controlada pelo Estado pretenda construir, por intermédio de uma parceria público-privada, uma obra de transposição entre reservatórios, envolvendo áreas limítrofes de três municípios. De acordo com a legislação/normatização aplicável, a referida obra
 

Provas

Questão presente nas seguintes provas
860449 Ano: 2016
Disciplina: Direito Tributário
Banca: FCC
Orgão: COPERGÁS-PE
Provas:
De acordo com a Constituição Federal, o imposto sobre operações relativas à circulação de mercadorias e sobre prestações de serviços de transporte interestadual e intermunicipal e de comunicação – ICMS
 

Provas

Questão presente nas seguintes provas
860448 Ano: 2016
Disciplina: Direito Tributário
Banca: FCC
Orgão: COPERGÁS-PE
Provas:
De acordo com o Código Tributário Nacional, o crédito tributário relativo a um determinado imposto
 

Provas

Questão presente nas seguintes provas
860447 Ano: 2016
Disciplina: Direito Tributário
Banca: FCC
Orgão: COPERGÁS-PE
Provas:

A empresa atacadista XYZ foi autuada pelas autoridades fiscais de um determinado Estado brasileiro por erro na aplicação da alíquota prevista em lei para a referida operação. O contribuinte, no exercício de 2013, aplicou a alíquota de 12%, quando deveria ter aplicado a alíquota de 18%, que era a correta.

Em razão desse erro, as autoridades fiscais estaduais, em julho de 2014, lavraram auto de infração contra esse contribuinte, por meio do qual reclamaram tanto o valor do ICMS que deixou de ser recolhido em razão do erro cometido, como lhe aplicaram a penalidade prevista na lei vigente na data em que foi cometida a infração: 30% do valor do imposto que deixou de ser pago em razão daquele erro.

Notificado da lavratura do referido auto de infração, o contribuinte ofereceu impugnação, em setembro de 2014, por meio da qual apresentou vários argumentos, inclusive o argumento de que, em 1º de agosto de 2014, após a lavratura do auto de infração, foi editada lei ordinária que reduziu a alíquota do imposto para aquela operação, de 18% para 12%, e de que a penalidade pecuniária foi reduzida, na mesma data, de 30% do valor do imposto que deixou de ser pago, para 20% desse valor.

Com base no relato acima e na disciplina que o Código Tributário Nacional estabelece a esse respeito, o contribuinte

I. deve ser condenado a pagar penalidade pecuniária calculada com base no percentual de 20%, porque, tratando-se de ato não definitivamente julgado, a lei aplica-se a ato pretérito, quando lhe comine penalidade menos severa que a prevista na lei vigente ao tempo da prática infracional.

II. deve ser condenado a pagar penalidade pecuniária calculada com base no percentual de 20%, porque a lei tributária que comina penalidades, deve ser interpretada da maneira mais favorável ao acusado.

III. deve ser condenado a pagar penalidade pecuniária calculada com base no percentual de 30%, porque esse era o percentual da penalidade pecuniária previsto em lei, na data do cometimento da infração.

IV. não deve ser condenado a pagar a diferença de imposto, porque, tratando-se de ato não definitivamente julgado, a lei aplica-se a ato pretérito, quando fixe alíquota menos gravosa do que a prevista na lei vigente ao tempo da prática infracional.

V. deve ser condenado a pagar a diferença de imposto, porque a retroatividade benéfica não se aplica aos tributos, mas apenas às penalidades pecuniárias.

VI. não deve ser condenado a pagar a diferença de imposto, porque a lei tributária que fixa alíquota menos gravosa, deve ser interpretada da maneira mais favorável ao acusado.

Está correto o que se afirma APENAS em

 

Provas

Questão presente nas seguintes provas
860446 Ano: 2016
Disciplina: Economia
Banca: FCC
Orgão: COPERGÁS-PE
Provas:
Uma medida da estratégia financeira de uma empresa é dada pela relaçãoenunciado 860446-1. Essa medida caracteriza o índice de
 

Provas

Questão presente nas seguintes provas
860445 Ano: 2016
Disciplina: Economia
Banca: FCC
Orgão: COPERGÁS-PE
Provas:
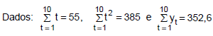
Com o objetivo de estimar o seu faturamento anual (y), em milhões de reais, no ano (2005 + t), uma empresa optou pela utilização do modelo linear yt = α + βt + ∈t, em que α e β são parâmetros desconhecidos e ∈t corresponde ao erro aleatório com as respectivas hipóteses da regressão linear simples. Utilizando o método dos mínimos quadrados e com base nas informações dos faturamentos anuais de 2006 até 2015 da empresa, obteve-se que as estimativas de α e da variância σ2 do modelo teórico foram 11,5 e 29,70, respectivamente.
enunciado 860445-1
Com relação ao modelo adotado pela empresa, as informações acima e a reta obtida pelo método dos mínimos quadrados, é correto afirmar que
 

Provas

Questão presente nas seguintes provas