Foram encontradas 70 questões.
A cultura organizacional se constitui como fator decisivo para os processos de gestão de pessoas. De acordo com o que considera Chiavenato,
A cultura está no DNA das organizações. [...] Representa o universo simbólico da organização e proporciona um referencial de desempenho entre os funcionários [...], influenciando seus comportamentos e práticas cotidianas.
CHIAVENATO, I. Gestão de Pessoas: o novo papel dos recursos humanos nas organizações. Rio de janeiro: Elsevier, 2004. p. 154. Adaptado.
Nessa perspectiva, se a “cultura está no DNA das organizações” e impacta o desempenho destas, é fundamental que a liderança leve em consideração a diversidade organizacional, em termos dos contextos e das singularidades das circunstâncias internas e externas.
Para isso, a partir das contribuições de Chiavenato apresentadas acima, dadas as características, o tipo de liderança que melhor se alinha à ideia indicada é a liderança
Provas
- PODC: Processo OrganizacionalProcesso Administrativo: OrganizaçãoEstrutura OrganizacionalDesenho Estrutural das Organizações
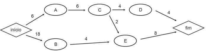
Considere o diagrama de rede do cronograma de um projeto, apresentado a seguir, que contém cinco atividades (A, B, C, D e E). O tempo indicado nas setas está especificado em semanas.

Caso uma revisão do projeto atualize a duração do caminho C-E de 2 para 6 semanas, a consequência dessa revisão será que a duração do caminho crítico do projeto
Provas
A Tabela a seguir apresenta uma matriz de probabilidade e impacto gerada como resultado do processo de gestão de riscos de um projeto.
Evento | Tipo do Risco | Probabilidade | Impacto |
I | Ameaça | 0,7 (alta) | 0,05 (muito baixo) |
II | Ameaça | 0,1 (muito baixa) | 0,8 (muito alto) |
III | Ameaça | 0,7 (alta) | 0,2 (moderado) |
IV | Oportunidade | 0,9 (muito alta) | 0,1 (baixo) |
V | Oportunidade | 0,1 (muito baixa) | 0,1 (baixo) |
Considerando-se as informações da Tabela, o evento de maior prioridade relativa de riscos individuais é o
Provas
O prefeito de determinado município brasileiro realizou treinamento ofertado para lideranças locais com o intuito de melhorar os índices de satisfação dos cidadãos com os serviços prestados pelos órgãos públicos. Esse gestor pretende aplicar o padrão estabelecido pela Administração Federal, que passou a regular as atividades digitais implantadas em diversos setores públicos.
Nos termos da Lei nº 14.129/2021, constituem princípios e diretrizes do Governo Digital e da eficiência pública, dentre outros, o dever do gestor público de prestar contas diretamente à população sobre a gestão dos recursos públicos, bem como o uso de linguagem
Provas
Disciplina: Administração Financeira e Orçamentária
Banca: CESGRANRIO
Orgão: CPNU/CNU
O mecanismo governamental de democracia que permite aos cidadãos influenciar ou decidir sobre os investimentos públicos, geralmente os de prefeituras municipais para assuntos locais, através de ações comunitárias que resultam em obras de infraestrutura, saneamento, serviços para todas as regiões de uma cidade chama-se
Provas
Disciplina: Administração Financeira e Orçamentária
Banca: CESGRANRIO
Orgão: CPNU/CNU
- Orçamento PúblicoAspectos Gerais do Orçamento PúblicoConceito e Natureza Jurídica do Orçamento Público
Orçamento público é o instrumento utilizado pelo Governo Federal para planejar a utilização do dinheiro arrecadado com os tributos.
Essa ferramenta
Provas
Disciplina: Administração Financeira e Orçamentária
Banca: CESGRANRIO
Orgão: CPNU/CNU
Considere o texto a seguir, que foi publicado na Agência Câmara de Notícias (adaptado).
Entre as prioridades para o Orçamento de 2023, o projeto de lei destaca a agenda da primeira infância, que inclui construção de creches; ações voltadas à segurança hídrica; incentivo ao uso de energias renováveis; programas voltados para geração de emprego e renda; e investimentos plurianuais em andamento.
O trecho acima faz referência a um instrumento de planejamento da Administração Pública que, além dos itens citados no texto, deve legalmente dispor também sobre
Provas
Disciplina: Atualidades e Conhecimentos Gerais
Banca: CESGRANRIO
Orgão: CPNU/CNU
O objetivo das ferramentas e aplicações de inteligência artificial deve sempre estar dirigido à melhoria da qualidade de vida das pessoas, postulando a inclusão daquelas parcelas da população historicamente discriminadas e pouco representadas.
Nesse contexto, a Inteligência Artificial caracteriza-se por
Provas
Disciplina: Atualidades e Conhecimentos Gerais
Banca: CESGRANRIO
Orgão: CPNU/CNU
Considere o texto sobre discriminação social no Brasil.
Os idosos correspondem a quase 15% da população brasileira. Apesar das estatísticas de aumento da longevidade nos últimos tempos, eles ainda sofrem preconceito. Em meio às limitações no mercado de trabalho e estereótipos que ditam os locais, roupas e estilo de vida que devem ser adotados, essa parcela da população tem se mostrado cada vez mais ativa, revelando como a longevidade pode ser positiva. O tema ganhou repercussão no Brasil no início de 2023 após a divulgação de um vídeo em que estudantes de uma universidade particular debocham de uma colega de 40 anos. No vídeo, uma das estudantes ironiza: “Gente, quiz do dia: como ‘desmatricula’ um colega de sala?”. Logo na sequência, outra jovem responde: “Mano, ela tem 40 anos já. Era para estar aposentada”. “Realmente”, concorda a terceira fazendo uma cara de deboche.
Disponível em: https://www.cnnbrasil.com.br/saude/[...]. Acesso em: 26 fev. 2024.
O tipo de discriminação social mencionado e a sua qualificação legal correspondem especificamente ao
Provas
Disciplina: Atualidades e Conhecimentos Gerais
Banca: CESGRANRIO
Orgão: CPNU/CNU
Considere o texto sobre a matriz energética brasileira.
Em 2021, representantes do Governo Federal participaram da 26ª Conferência das Nações Unidas sobre Mudanças Climáticas (COP26), em Glasgow, na Escócia. [...] Segundo o Ministério de Minas e Energia, o Brasil é exemplo mundial em transição energética, com mais de 85% da matriz elétrica oriunda de fontes limpas e renováveis e 48% de renovabilidade em sua matriz energética total. Nessa direção, o Brasil registrou, até fevereiro de 2023, 890 parques eólicos instalados em 12 estados brasileiros. Eles somam 25,04 gigawatts de capacidade instalada em operação comercial, que beneficiam 108,7 milhões de habitantes.
Disponível em: https://www.gov.br/casacivil/pt-br/assuntos/noticias/2021/novembro/o-brasil-e-exemplo-mundial-em-transicao-energetica e https: //agenciabrasil.ebc.com.br/economia/noticia/2023-04/capacidade-de-geracao-de-energia-eolica-deve-bater-recorde-neste-ano. Acesso em: 26 fev. 2024. Adaptado.
No Brasil, do total de parques eólicos instalados, a maioria se encontra na Região
Provas
Caderno Container