Foram encontradas 550 questões.
Uma geladeira industrial trabalha com uma temperatura de −3°C em seu compartimento interno. Sabe-se que a potência necessária para o acionamento do compressor é de 3/4 HP e que o rendimento desta máquina térmica é 16/27 do máximo teoricamente admissível. Considerando que a temperatura do ambiente no qual se encontra a geladeira é 27°C, as taxas de transferência de calor, em kW, retirada do compartimento interno e rejeitada para o ambiente respectivamente, valem: (Dado: 1 HP : 3/4 kW.)
Provas
O lado interno da parede de uma planta industrial encontra-se submetido a produtos de combustão a uma temperatura de 100°C e coeficiente de filme igual a 10 W/m2 °C. Esta parede é recoberta por uma camada de 6 mm de um isolante que apresenta uma condutividade térmica igual a 0,02 W/m °C. O lado externo do conjunto parede-isolante interage termicamente com o ar ambiente, cuja temperatura e coeficiente de filme valem, respectivamente, 25°C e 5 W/m2 °C. Se a espessura da parede tiver 4 cm, e se sua condutividade térmica for igual a 0,1 W/m °C, a taxa de transferência de calor referente à parede, em W/m2, e a temperatura na interface paredeisolante, em °C, respectivamente, valerão:
Provas
As afirmações que se seguem dizem respeito ao fenômeno de convecção térmica.
I - O Número de Nusselt é um grupo adimensional expresso pela razão entre o coeficiente de filme e o produto da condutividade térmica por um comprimento característico.
II - Um escoamento que apresenta um Número de Prandtl superior à unidade possui uma taxa de difusão de energia maior do que a taxa de difusão de quantidade de movimento.
III - No fenômeno de convecção forçada referente a um escoamento laminar ou turbulento no interior de um tubo circular, no qual os efeitos de dissipação viscosa podem ser abandonados, o Número de Nusselt será sempre uma função do Número de Reynolds e do Número de Prandtl.
IV - No fenômeno de convecção livre laminar em uma superfície vertical, o Número de Nusselt pode ser expresso como uma função do Número de Prandtl e do Número de Grashof.
Estão corretas APENAS as afirmações
Provas
A água escoa no interior de um equipamento industrial por meio de duas seções de entrada. Na primeira seção, que apresenta uma área de seção reta igual a 5 cm2, a velocidade do escoamento é de 3 cm/s. Já na outra seção, a velocidade do escoamento é de 1,5 cm/s e a área de seção reta é de 8 cm2. Supondo escoamento incompressível em regime permanente, e considerando que existe apenas uma única área de saída cujo valor é de 20 cm2, a velocidade do escoamento em cm/s e a vazão mássica em kg/s nesta seção, respectivamente, valem: (Dado: massa específica da água: 1 kg/l.)
Provas
Considere as afirmações a seguir sobre aspectos do escoamento de fluidos.
I - Na Estática dos Fluidos, existe um equilíbrio entre a resultante das forças de corpo (que na maioria das aplicações é aquela devida à ação do campo gravitacional) e as forças de pressão. Na sua forma mais geral, esta equação tem natureza escalar.
II - Em um escoamento incompressível, as equações de conservação da massa e as de Navier-Stokes podem ser resolvidas sem a necessidade da equação da energia.
III - Na sua forma mais geral, o princípio de conservação de massa estabelece que a taxa de escoamento de massa para dentro do volume de controle é igual à taxa de escoamento de massa para fora do mesmo volume de controle.
IV - A Equação de Bernoulli relaciona variações de pressão, velocidade e elevação ao longo de uma linha de fluxo. Sua dedução pode ser realizada tomando como ponto de partida a equação da Segunda Lei de Newton para a mecânica de fluidos.
Estão corretas APENAS as afirmações
Provas
Em um conjunto cilindro-pistão, o pistão mantém a pressão no interior do cilindro constante. O cilindro contém 1 kg de uma substância pura com um título de 5% a 480 kPa. Nestas condições, os volumes específicos do líquido e do vapor saturados são 0,010 m3/kg e 0,410 m3/kg, respectivamente. Se o cilindro for aquecido de forma que 1 g/s de líquido se transforme em vapor, a taxa na qual o trabalho na interface entre o vapor e o pistão é produzido (kW) será
Provas

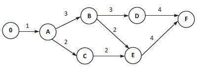
O diagrama PERT acima indica a sequência lógica de eventos para se realizar a manutenção de uma máquina. O tempo esperado, em horas, para a conclusão de cada atividade está indicado acima da linha que a representa. Com base nestas informações, considere as afirmativas a seguir.
I - Os eventos B e E fazem parte do caminho crítico.
II - O evento E tem uma folga de 1 hora.
III - Se a conclusão do evento C ocorrer 2 horas após o previsto, o processo como um todo sofrerá um atraso de 2 horas.
Está(ão) correta(s) a(s) afirmativa(s)
Provas
Aviões decolam de um porta-aviões auxiliados por um dispositivo formado por um conjunto cilindro-pistão movido a vapor, cuja pressão média de operação é 1.350 kPa. Um avião de 20.000 kg deve acelerar de 0 m/s até 30 m/s para a decolagem. Durante este processo, 30% da energia consumida pelo avião é proveniente do pistão a vapor. Nestas condições, o volume (m3) deslocado pelo pistão é
Provas


Um líquido de massa específica 1.000 kg/m3 é transferido do tanque A para o tanque B através do arranjo mostrado na figura. O manômetro A, localizado no flange de sucção da bomba, indica 200 kPa. A velocidade média do escoamento neste ponto é 2 m/s. O manômetro B, localizado no reservatório de descarga, indica 300 kPa. A perda de carga na linha e acessórios da descarga, incluindo a perda na saída do líquido da tubulação, é de 1 m. A pressão atmosférica local é 100 kPa.
Sabendo que a pressão de vapor do líquido na temperatura de bombeamento é 90 kPa, o NPSH disponível, em metros, é
Provas


Um líquido de massa específica 1.000 kg/m3 é transferido do tanque A para o tanque B através do arranjo mostrado na figura. O manômetro A, localizado no flange de sucção da bomba, indica 200 kPa. A velocidade média do escoamento neste ponto é 2 m/s. O manômetro B, localizado no reservatório de descarga, indica 300 kPa. A perda de carga na linha e acessórios da descarga, incluindo a perda na saída do líquido da tubulação, é de 1 m. A pressão atmosférica local é 100 kPa.
Considerando a aceleração da gravidade como sendo 10 m/s2, a altura manométrica total do sistema , em metros, é:
Provas
Caderno Container