Foram encontradas 35 questões.
Acerca do histórico e do perfil institucional do IFPR, conforme consta do Plano de Desenvolvimento Institucional do
IFPR, é correto afirmar que o IFPR:
Provas
Questão presente nas seguintes provas
Em um projeto de engenharia, está prevista a seleção de alguns tipos de materiais poliméricos que atendam aos
seguintes requisitos: capacidade de isolamento termoacústico, união de diferentes materiais a baixas temperaturas e
resistência ao rasgamento. Dessa forma, a sequência correta de escolha que atende respectivamente aos elementos
dessa solicitação é:
Provas
Questão presente nas seguintes provas
Considerando os eventos do processamento de polímeros por extrusão, é correto afirmar:
Provas
Questão presente nas seguintes provas
O LCD (Liquid Crystal Display) revolucionou o mundo. Isso só foi possível por meio de várias pesquisas com os cristais
líquidos poliméricos (LCP) que, com o advento da eletrônica, possibilitaram a massificação de telas digitais em
relógios e monitores para computadores, por exemplo. Acerca do LCP, é correto afirmar que o alinhamento molecular
tanto no estado líquido quanto no sólido permanece:
Provas
Questão presente nas seguintes provas
Sobre a fibrilação (ou esgarçamento), é correto afirmar:
Provas
Questão presente nas seguintes provas
A temperatura é uma variável importante no processamento industrial, especificamente a temperatura de fusão (Tf)
que promove a transformação entre estados, principalmente para polímeros semicristalinos. Qual situação a seguir
contribui para o aumento da Tf, com base nas estruturas químicas do polímero?
Provas
Questão presente nas seguintes provas
Sobre massa molar e dada a distribuição hipotética a seguir, é correto afirmar:

CALLISTER JR., W. D.; RETHWISCH, D. G. Ciência e engenharia de materiais: uma introdução. 8. ed. Rio de Janeiro: LTC, 2012, p. 462.
Provas
Questão presente nas seguintes provas
Uma das formas de síntese em polímeros pode ser obtida por polimerização em etapas. Assinale a alternativa que
apresenta corretamente uma característica do processo desse modo de síntese.
Provas
Questão presente nas seguintes provas
Dois polímeros (A e B), sólidos e diferentes entre si, podem apresentar uma eventual relação com três solventes. É possível prever a solubilidade entre eles, tendo-se como base as interações dipolo-dipolo (δp) e as forças das pontes de hidrogênio (δh) de cada um.

Com base nas informações e no gráfico apresentado, é correto afirmar:

Com base nas informações e no gráfico apresentado, é correto afirmar:
Provas
Questão presente nas seguintes provas
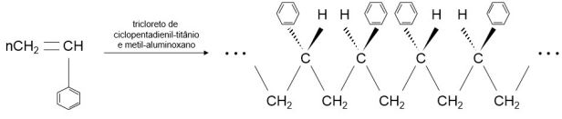
A reação a seguir trata de uma polimerização em solução, tendo como resultado a precipitação de um tipo de
poliestireno (PS), que é separado do solvente, seco e posteriormente granulado.

Analisando o intervalo da estrutura do poliestireno gerado, é correto afirmar que se trata de uma configuração tipo:

Analisando o intervalo da estrutura do poliestireno gerado, é correto afirmar que se trata de uma configuração tipo:
Provas
Questão presente nas seguintes provas
Cadernos
Caderno Container