Foram encontradas 35 questões.
Provas
Sobre a física dos semicondutores e sobre a figura a seguir, é correto afirmar:

Provas
Desejamos projetar um filtro FIR que respeite a seguinte máscara de filtragem:
\( 0,99 < |H(e^{jω})| < 1,01 \) \( 0\le|ω|\le0,03π \)
\( |H(e^{jω})| \le 0,01 \) \( 0,32π\le|ω|\leπ \)
Considere a tabela a seguir com dados dos diferentes tipos de janela para projetos de filtros FIR. Considere a banda de transição equivalente à largura do lóbulo principal da janela. Assinale a alternativa correta.
|
Tipos de janela |
Amplitude do pico do lóbulo lateral (relativa) (dB) | Largura aproximada do lóbulo principal |
Pico do erro de aproximação, \( 20log_{10}\delta \).(dB) |
|
Retangular |
-13 |
4 \( π \)⁄(M + 1) |
-21 |
|
Barlett |
-25 |
8 \( π \)⁄(M) |
-25 |
|
Hann |
-31 |
8 \( π \)⁄(M) |
-44 |
|
Hamming |
-41 |
8 \( π \)⁄(M) |
-53 |
|
Blackman |
-57 |
12 \( π \)⁄(M) |
-74 |
Provas
Provas
Provas
Provas
´Considere as seguintes informações sobre o sensor de temperatura termistor NTC:
O termistor NTC segue a relação de resistência por temperatura da figura a seguir:

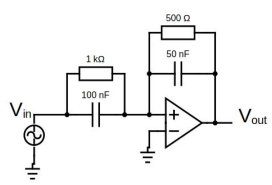
Considere ainda o circuito de medição da figura a seguir, composto por um resistor de linearização:

Para o NTC linearizado, temos as seguintes relações:
\( R_t=R_0e^{(\dfrac{B}{T}-\dfrac{B}{T_0})} \) \( R_{lin} = R_{T_C}\dfrac{B-2T_C}{B+2T_C} \) \( \dfrac{dR_T}{dT}=\dfrac{-B⋅R_T}{T^2} \) \( \dfrac{dRp}{dT} = \dfrac{R^2-{lin}}{(R_{lin}+R_T)^2} \) \( \dfrac{dR_T}{dT} \)
Considerando as informações apresentadas, assinale a alternativa correta.
Provas
Para NPN: - junção base-emissor (JBE): em bloqueio se VBE ≤ 0,7 V; em condução, assumir VBE = 0,7 V. - junção base-coletor (JBC): em bloqueio se VBC ≤ 0,5 V; em condução, assumir VBC = 0,5 V. - para BJT em modo ativo (ou seja, JBE em condução e JBC em bloqueio), assumir IC = βIB. - para BJT em saturação (ou seja, ambas JBE e JBC em condução e 0 ≤ IC/IB ≤ β), assumir VCE = 0,2 V. - para BJT em corte (ou seja, ambas JBE e JBC em bloqueio), assumir IB = 0 e IC = 0.
Para PNP: - junção emissor-base (JEB): em bloqueio se VEB ≤ 0,7 V; em condução, assumir VEB = 0,7 V. - junção coletor-base (JCB): em bloqueio se VCB ≤ 0,5 V; em condução, assumir VCB = 0,5 V. - para BJT em modo ativo (ou seja, JEB em condução e JCB em bloqueio), assumir IC = βIB. - para BJT em saturação (ou seja, ambas JEB e JCB em condução e 0 ≤ IC/IB ≤ β), assumir VEC = 0,2 V. - para BJT em corte (ou seja, ambas JEB e JCB em bloqueio), assumir IB = 0 e IC = 0.
Considerando os circuitos (1) e (2) a seguir, e um b = 70, assinale a alternativa correta.

Provas

Provas
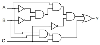
Considere o circuito lógico a seguir. É correto afirmar:

Provas
Caderno Container