Magna Concursos

Foram encontradas 35 questões.

Acerca do histórico e do perfil institucional do IFPR, conforme consta do Plano de Desenvolvimento Institucional do IFPR, é correto afirmar que o IFPR:
 

Provas

Questão presente nas seguintes provas
2730188 Ano: 2023
Disciplina: TI - Desenvolvimento de Sistemas
Banca: UFPR
Orgão: IF-PR
Durante o desenvolvimento de jogos, é necessário utilizar o conceito de animação, que compreende a sobreposição de imagens de um mesmo objeto, apresentando pequenas diferenças entre si, criando a sensação de movimento. Sobre o processo de animação, é correto afirmar:
 

Provas

Questão presente nas seguintes provas
2730187 Ano: 2023
Disciplina: TI - Desenvolvimento de Sistemas
Banca: UFPR
Orgão: IF-PR
Sobre o método de desenvolvimento ágil de software Scrum, é correto afirmar:
 

Provas

Questão presente nas seguintes provas
2730186 Ano: 2023
Disciplina: TI - Desenvolvimento de Sistemas
Banca: UFPR
Orgão: IF-PR
Os padrões de projeto GoF (“Gang of Four”) auxiliam os projetistas de software fornecendo soluções para problemas comuns, utilizando os conceitos da orientação a objetos. O padrão que permite a construção de estruturas complexas a partir de uma hierarquia de classes, compondo objetos em estruturas de árvore, é o:
 

Provas

Questão presente nas seguintes provas
2730185 Ano: 2023
Disciplina: TI - Desenvolvimento de Sistemas
Banca: UFPR
Orgão: IF-PR
Assinale a alternativa que apresenta um dos padrões de projeto GoF (“Gang of Four”) classificado como estrutural.
 

Provas

Questão presente nas seguintes provas
2730184 Ano: 2023
Disciplina: TI - Desenvolvimento de Sistemas
Banca: UFPR
Orgão: IF-PR
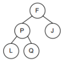
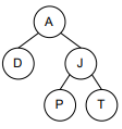
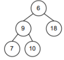
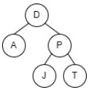
Uma árvore consiste em uma estrutura de dados que contém nós e arcos e pode ser utilizada para organizar objetos de forma hierárquica. Uma árvore binária de busca utiliza a estrutura de árvore e possui propriedades específicas. Assinale a alternativa que apresenta uma árvore binária de busca.
 

Provas

Questão presente nas seguintes provas
2730183 Ano: 2023
Disciplina: TI - Desenvolvimento de Sistemas
Banca: UFPR
Orgão: IF-PR

O polimorfismo permite que uma mesma mensagem, tratada por um mesmo método, enviada para diferentes objetos, apresente resultados diferentes. Isso também permite que objetos com tipos diferentes sejam tratados da mesma forma. A hierarquia de classes Java apresentada utiliza o conceito de polimorfismo. Cada classe está salva em seu arquivo específico com o nome da classe e a extensão .java.

public interface Exame {

public abstract void mostrarPreparo();

}

public class ExameImagem implements Exame {

@Override

public void mostrarPreparo() {

System.out.println("EXAME DE IMAGEM PREPARO: ");

System.out.println("Nenhum preparo necessário.");

}

}

public class EcografiaTireoide extends ExameImagem {

}

public class ExameSangue implements Exame {

@Override

public void mostrarPreparo() {

System.out.println("EXAMES DE SANGUE - PREPARO:");

}

}

public class GlicemiaJejum extends ExameSangue {

@Override

public void mostrarPreparo() {

System.out.println("GLICEMIA EM JEJUM - PREPARO:");

System.out.println("Não ingerir bebidas alcoólicas 72 horas antes do

exame.");

System.out.println("Jejum de 8 a 12 horas");

}

}

import java.util.ArrayList;

import java.util.List;

public class AgendarExame {

public static void main(String[] args) {

List<Exame> examesPaciente = new ArrayList<Exame>();

examesPaciente.add(new GlicemiaJejum());

examesPaciente.add(new EcografiaTireoide());

for (Exame exame : examesPaciente) {

exame.mostrarPreparo();

}

}

}

Qual o resultado da execução do código descrito no método main da classe AgendarExame?

 

Provas

Questão presente nas seguintes provas
2730182 Ano: 2023
Disciplina: TI - Desenvolvimento de Sistemas
Banca: UFPR
Orgão: IF-PR

Assinale a alternativa correspondente à saída que será apresentada na tela ao executar o código abaixo, inserindo como entrada o valor 5 para a média e 0,75 para frequência.

import java.util.Scanner;

public class LogicaCondicional {

public static void main(String[] args) {

Scanner input = new Scanner(System.in);

System.out.println("Entre com a média, de 0 a 10: ");

float media_aluno = input.nextFloat();

System.out.println("Entre com a frequência de 0 a 1 (indicando 100%): ");

float frequencia = input.nextFloat();

float media = 7;

float frequencia_minima = 0.75f;

if (media_aluno >= media && frequencia > frequencia_minima)

System.out.println("Você foi aprovado!");

else if (media_aluno >= media)

System.out.println("Solicite aprovação mediante justificativa de faltas.");

else if (frequencia > frequencia_minima){

float recuperar = media * 2 - media_aluno;

if (recuperar <= 10)

System.out.println("Está em recuperação, tirar no mínimo " + recuperar);

else

System.out.println("Não está apto para recuperação.");

} else {

System.out.println("Você está reprovado.");

}

}

}

 

Provas

Questão presente nas seguintes provas
2730181 Ano: 2023
Disciplina: TI - Desenvolvimento de Sistemas
Banca: UFPR
Orgão: IF-PR
O Manifesto para o desenvolvimento ágil de software (2001) valoriza:
 

Provas

Questão presente nas seguintes provas
2730139 Ano: 2023
Disciplina: TI - Banco de Dados
Banca: UFPR
Orgão: IF-PR

Qual o resultado correto ao executar o comando SQL abaixo?

SELECT ALUNO.Matricula, ALUNO.Nome, CURSO.Nome AS Curso, SUM(DISCIPLINA.Carga_horaria) AS "Total de horas"

FROM ALUNO, ALUNO_CURSA, DISCIPLINA, CURSO

WHERE ALUNO.Matricula = ALUNO_CURSA.Cod_aluno

AND ALUNO_CURSA.Cod_disciplina = DISCIPLINA.Codigo

AND DISCIPLINA.Cod_curso = CURSO.Codigo

GROUP BY ALUNO.Matricula, CURSO.Nome

ORDER BY ALUNO.Nome;

 

Provas

Questão presente nas seguintes provas