Foram encontradas 269 questões.
Provas
Provas
Disciplina: Administração Financeira e Orçamentária
Banca: IF-RS
Orgão: IF-RS
Em relação aos princípios orçamentários, assinale a sequência que ilustra o preenchimento CORRETO dos parênteses, de cima para baixo:
1. Princípio da Unidade
2. Princípio da Programação
3. Princípio da Anualidade
4. Princípio da Exclusividade
5. Princípio do Equilíbrio
( ) Os orçamentos de todos os órgãos autônomos que constituem o setor público devem se motivar em uma singular política orçamentária estruturada uniformemente e que ajuste a um método único.
( ) Deverão ser incluídos no orçamento, unicamente, assuntos que lhe sejam relacionados, deve-se evitar que se incluam-na lei do orçamento normas relativas a outros campos jurídicos, estranhos à previsão da receita e fixação da despesa.
( ) No orçamento devem ser selecionados objetivos que se procuram alcançar, determinando ações que permitam atingir tais fins. O orçamento deve ter o conteúdo e a forma de planejamento.
( ) Deve ser adotado o período de um ano para o orçamento, sendo considerado a melhor forma, uma vez que é o critério adotado pela maioria das empresas privadas.
( ) O orçamento público deverá manter estabilidade, do ponto de vista financeiro, entre os valores de receitas e despesas, procurando consolidar uma política econômico-financeira que produza a igualdade entre os valores de receita e despesa.
Provas
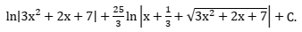
A solução CORRETA da integral indefinida
sendo C uma constante, é dada por:
Provas
Sob restrição de capital, ou seja, o capital está limitado a $30, determine a(s) alternativa(s) independente(s) de investimento a ser(em) selecionada(s). Assuma um custo de capital de 10%.

Provas
Dado o sistema linear:

Qual das alternativas a seguir apresenta o conjunto solução deste sistema?
Provas
Sejam as funções ƒ: R → R e g: R → R, tais que f é uma função quadrática e g uma função afim e ƒ(-3) = ƒ(2) = 0 , ƒ(0) = 6, g(-2) = 4 e g(2) = 0 conforme a figura. Calcule a área da região sombreada.

Provas
Uma pirâmide regular é inscrita ao prisma ABCDEFGH de base quadrada, o lado da base do prisma possui medida l e a altura do prisma 6l. A base da pirâmide é formada pela união dos pontos médios (M2, M3 e M4) dos lados da base ABCD do prisma, conforme a figura abaixo. Calcule a razão entre o volume da pirâmide e a área total da pirâmide. E, assinale a alternativa CORRETA:

Provas
Provas
Qual das opções abaixo é o terceiro lado de
um triângulo, conhecidos um lado de 10 cm, o
outro de 20 cm e sua área de 
Provas
Caderno Container