Foram encontradas 1.192 questões.
Neste contexto, assinale a opção que apresenta o argumento utilizado no padrão OpenMP para combinar múltiplos loops em um único, permitindo sua execução em paralelo.
Provas
Considere uma função f(x), contínua no intervalo [0, 1], com os seguintes valores de amplitude:
\( f(0) = 1,0; f(0,1) = 1,1; f(0,2) = 1,2; f(0,3) = 1,3; f(0,4) = 1,5; f(0,5) = 1,6; f(0,6) = 1,8; f(0,7) = 2,0; f(0,8) = 2,2; f(0,9) = 2,5; \) e \( f(1) = 2,7. \)
Seja: \( A \) =\( \int_0^1 \) \( f \)(\( x \))\( d \)\( x \)
Assinale a opção que contém a aproximação do valor de A, calculada por meio da utilização da regra dos trapézios repetida, com apenas cinco subintervalos.
Provas
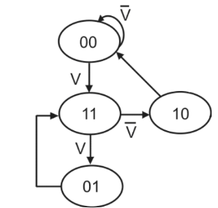
Dois flip-flops D devem implementar a sequência de estados QBQA do diagrama da figura a seguir.

A lógica de menor soma de produtos a ser usada para acionar DB é
Provas
Assinale a opção que indica o produto de somas que minimiza o mapa acima.
Provas
Disciplina: TI - Organização e Arquitetura dos Computadores
Banca: FGV
Orgão: INPE
No contexto de um sistema de computação paralela, assinale a opção que apresenta um método de sincronização entre processos que garante que apenas um processo possa acessar uma seção crítica de código por vez.
Provas
Provas
- Gerenciamento de ProcessosThreadsCompartilhamento de Recursos por Threads
- Gerenciamento de ProcessosThreadsProcessos versus Threads
- Gerenciamento de ProcessosThreadsSincronização em Ambientes Multithread
Assinale a opção que descreve uma diferença importante no conceito entre processos e threads, incluindo aspectos de comunicação e sincronização.
Provas
Disciplina: TI - Organização e Arquitetura dos Computadores
Banca: FGV
Orgão: INPE
No contexto de métricas e análises de desempenho para HPC, assinale a opção que define corretamente speedup.
Provas
Diante desse contexto, assinale a opção que apresenta um benefício chave dos sistemas de armazenamento de dados de alta performance.
Provas
Assinale a opção que apresenta uma boa prática de programação.
Provas
Caderno Container