Foram encontradas 625 questões.
Observe os dados abaixo. Para o ar seco, a relação η = (μ/ε)1/2 = 120 π, sendo:
• μ a permeabilidade magnética do ar;
• ε a permissividade dielétrica do ar.
Deseja-se calcular a impedância característica de um cabo coaxial com ar como isolante entre o condutor externo e o condutor interno. Sendo a relação entre o raio do condutor externo e o raio do condutor interno igual a 2,7, a impedância característica aproximada do cabo coaxial será de:
Provas
A saída de um transmissor de RF é acoplada à antena de transmissão através de um cabo coaxial. Quando a impedância da antena é diferente da impedância característica do cabo, parte da potência incidente na antena é refletida para o transmissor. A Relação de Ondas Estacionárias (ROE) medida, forneceu um valor de ROE =2.
Nesse caso a relação entre a potência de RF refletida e a incidente é de:
Provas
Com modulação em amplitude e em fase (QAM M ário), é possível a transmissão de vários bits por cada símbolo transmitido. Ela é obtida através da soma de dois fasores ortogonais
i (t) (in-phase) e
q(t) (quadrature), isto é:
i (t) = I cos ωt e
q(t) = Q sen ωt
Vários valores podem ser atribuídos combinando-se I e Q. Na modulação 64 QAM, I e Q podem assumir os seguintes valores:
Provas
Analise o diagrama de blocos abaixo, que é citado em muitos compêndios de comunicações. Os blocos “X” são circuitos multiplicadores de quatro quadrantes, os blocos “90º” são circuitos defasadores de 90 graus e o bloco “Σ” um circuito domador. As entradas em (t) e ec (t) são senoidais e ωm << ωc .

Após a análise, pode-se concluir que esse diagrama é a representação de um:
Provas
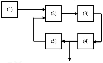
O circuito, cujo diagrama em blocos numerados de (1) a (5) é mostrado abaixo, é um PLL, e é muito usado em receptores e transmissores de RF.

A correta identificação desses blocos é:
Provas
Um sinal de uma portadora senoidal é modulado em amplitude, também por um sinal senoidal, com um índice de modulação m=0,5. A potência da portadora sobre uma carga Rl é de 160 W, logo a potência da frequência lateral inferior sobre a mesma carga é de:
Provas
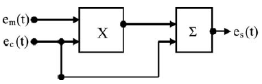
Analise o diagrama abaixo em que X é um circuito multiplicador de tensões de quatro quadrantes e Σ um somador.

Considere que:
• em(t) = Em sen ωm t
• ec(t) = Ec sen ωc t ,
Nesse caso, com Em < Ec e ωm << ωc , a saída es (t) será um sinal modulado em:
Provas
O resistor R do circuito abaixo apresenta uma resistência ôhmica de 10 kΩ, e está a uma temperatura de 286 K. FPF é um filtro passa faixa ideal de largura de banda de 10 MHz.

Sabendo-se que a Constante de Boltzmann é de aproximadamente 1,4 x 10−23 J/K, o valor médio quadrático da tensão de ruído térmico nos terminais X e Y será de aproximadamente:
Provas
Um sistema de transmissão de dados opera com uma taxa de transmissão de 100 Mbits/segundo e apresentou 6 (seis) bits errados na recepção em 20 minutos de observação.
Nesse caso, o BER do sistema é de:
Provas
Um sistema de transmissão de dados apresenta as variáveis A, B, C, D e E, com as respectivas probabilidades de ocorrências, mostradas no quadro abaixo.
|
Variável |
Probabilidade de ocorrência |
| A |
1/2 |
| B |
1/4 |
| C |
1/8 |
| D |
1/16 |
| E |
1/16 |
Nesse sistema de transmissão de dados, a entropia será:
Provas
Caderno Container