Foram encontradas 474 questões.

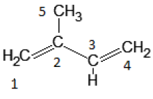
Quanto à hibridização, nas estruturas acima, os carbonos numerados são, respectivamente:
Provas
Questão presente nas seguintes provas
Você atende uma chamada e o interlocutor tem que esperar na linha, como NÃO se deve proceder?
Provas
Questão presente nas seguintes provas
1682018
Ano: 2016
Disciplina: Segurança Privada e Transportes
Banca: FAEPESUL
Orgão: Pref. Araranguá-SC
Disciplina: Segurança Privada e Transportes
Banca: FAEPESUL
Orgão: Pref. Araranguá-SC
Provas:
O extintor de incêndio adequado para a extinção do fogo em liquido inflamável é:
Provas
Questão presente nas seguintes provas
A internet é uma forma de compartilhamento de informações que permite guardar as informações em vários locais diferentes. Os navegadores são a ponte entre os usuários e a internet, portanto é correto afirmar que:
Provas
Questão presente nas seguintes provas
1681016
Ano: 2016
Disciplina: Segurança Privada e Transportes
Banca: FAEPESUL
Orgão: Pref. Araranguá-SC
Disciplina: Segurança Privada e Transportes
Banca: FAEPESUL
Orgão: Pref. Araranguá-SC
Provas:
Os métodos de extinção do fogo são:
Provas
Questão presente nas seguintes provas
1681006
Ano: 2016
Disciplina: Segurança Privada e Transportes
Banca: FAEPESUL
Orgão: Pref. Araranguá-SC
Disciplina: Segurança Privada e Transportes
Banca: FAEPESUL
Orgão: Pref. Araranguá-SC
Provas:
Incêndios da classe C ocorrem em:
Provas
Questão presente nas seguintes provas
Mariana, em seu aniversário, foi presenteada com a clássica obra “A Moreninha” do autor, Joaquim Manoel de Macedo, realizando a leitura deste livro em sete dias, sendo que cada dia lera o dobro de páginas do dia anterior. Assinale a alternativa que apresenta a quantidade de páginas da obra, sendo que no primeiro dia Mariana leu apenas duas páginas.
Provas
Questão presente nas seguintes provas
De acordo com o Código Florestal: a Lei n° 12.651/2012, que estabelece entre outras as diretrizes para a criação do CAR – Cadastro Ambiental Rural, que alimentará um registro público eletrônico de âmbito nacional, obrigatório para todos os imóveis rurais, com a finalidade de integrar as informações ambientais das propriedades e posses rurais, sistema este chamado: assinale a alternativa CORRETA.
Provas
Questão presente nas seguintes provas
Conforme disposto no Código Civil Brasileiro a incapacidade civil se encerra com a ocorrência dos fatos abaixo relacionados, EXCETO:
Provas
Questão presente nas seguintes provas
1673974
Ano: 2016
Disciplina: Direito Administrativo
Banca: FAEPESUL
Orgão: Pref. Araranguá-SC
Disciplina: Direito Administrativo
Banca: FAEPESUL
Orgão: Pref. Araranguá-SC
Provas:
A prerrogativa da Administração Pública de se auto organizar em ministérios, secretarias, departamentos, órgãos, etc., e rever seus próprios atos, ora anulando-os, ora revogando-os configura o exercício, respectivamente, dos poderes:
Provas
Questão presente nas seguintes provas
Cadernos
Caderno Container