Foram encontradas 310 questões.
O explosivo conhecido como RDX tem massa molar de aproximadamente 220 g mol-1 e fórmula empírica CH2N2O2. Esse explosivo pode ser representado pela fórmula molecular:
Provas
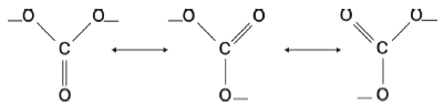
As três estruturas do íon carbonato seguem a regra do octeto, e os elétrons não ligantes não se encontram representados.

Assinale a alternativa CORRETA em relação às estruturas:
Provas
O comprimento de onda dos fótons da linha de emissão espectral amarela do sódio é de 590 nm (1 nm = 10−9 m). Que energia cinética, em eV, um elétron deve ter para que seu comprimento de onda de Broglie seja igual ao desses fótons?
| Dados: massa do elétron = 9,11 × 10−31 kg; constante de Planck = 6,63 × 10−34 m2kg/s; 1 eV = 1,60 × 10−19 J. |
Provas
Na figura, estão representadas as seções retas de dois fios infinitos transportando corrente elétrica de intensidade I. Os fios estão posicionados perpendicularmente ao plano da folha. A corrente do fio da esquerda está “saindo” do plano e a do fio da direita está “entrando” no plano. Sendo b > a, o módulo do campo magnético criado pelas correntes no ponto P é igual a
| Dado: µ0 = 4\( \pi \) 10-7 T. m / A é a |
Provas
Uma carga pontual positiva Q encontra-se a uma distância a/2 do centro de duas superfícies quadradas de aresta a, perpendiculares entre si (veja a figura). O valor do fluxo do campo elétrico criado pela carga Q através das duas superfícies é igual a

Provas
Na figura, temos uma representação da estrutura básica do olho humano. A luz é refratada para o olho através da córnea e é posteriormente redirecionada por uma lente cuja forma é controlada por músculos (o que permite um ajuste de foco). Podemos tratar as lentes da córnea e dos olhos como uma única lente efetiva fina. Um olho "normal" pode focalizar raios de luz paralelos de um objeto distante O até um ponto na retina, na parte posterior do olho, onde começa o processamento da informação visual. Porém, quando um objeto é aproximado do olho, os músculos devem mudar o formato da lente para que os raios formem uma imagem real invertida I (a uma distância i da lente), na retina. Suponha que, para raios paralelos, a distância focal f da lente fina efetiva do olho é de 2,50 cm. Para um objeto à distância p = 40,0 cm, qual é, aproximadamente, a distância focal f da lente efetiva necessária para que o objeto seja visto claramente?

Provas
Uma máquina de Carnot opera entre as temperaturas 235 ºC e 115 ºC, absorvendo 6,30 × 104 J por ciclo, da fonte quente. O trabalho realizado, por ciclo, e a eficiência dessa máquina são, respectivamente,
Provas
Um bloco de peso \( \vec P \) é pressionado contra uma parede por uma força \( \vec F \) , aplicada nele (veja a figura). O coeficiente de atrito estático entre o bloco e a parede é µe = 0,6 e o cinético é µe = 0,4. Os módulos da força aplicada e do peso do bloco são F = 487,5 N e P = 294,0 N, respectivamente. O módulo da aceleração da gravidade no local é g = 9,8 m/s2. Sobre o estado de movimento do bloco, é CORRETO afirmar que

Provas
Numa aula para estudantes do ensino médio, um professor de Física falou sobre o movimento da Terra em torno do Sol. Nesse contexto, ele abordou a periodicidade do movimento e as estações do ano, chamando a atenção dos ouvintes para o frio intenso que fazia, há alguns dias, por ocasião do solstício do inverno. Dando continuidade ao assunto clima, ele falou sobre a relação deste com a poluição atmosférica, citando estudos que mostram que alguns poluentes reagem quimicamente com gases na alta atmosfera, diminuindo a proteção natural do planeta ao ataque da radiação ultravioleta que vem do Sol. Ele citou ainda estudos que mostram o aumento, no mundo, dos casos de câncer de pele e de catarata em seres humanos em função da nossa maior exposição aos raios ultravioletas. (Alguns presentes citaram a ocorrência dessas doenças em parentes próximos). Na sua exposição, o professor tratou de diversos temas, buscando explorar, para cada um deles, aspectos relacionados a várias áreas do conhecimento. Além disso, ele trouxe exemplos e informações que dizem respeito ao nosso quotidiano e à realidade vivida pelas pessoas. É CORRETO afirmar que o professor de Física mencionado no texto acima busca utilizar, em sua prática pedagógica, o(s) conceito(s) de
Provas
Ética da Virtude: Nunca a humanidade esteve tão carente de si mesma, de sua consciência ética para além dos discursos teológicos e ideológicos. Presumidamente, o avanço civilizatório cultural e tecnológico assegura uma concepção de humanidade eticamente virtuosa. No entanto, nos parece que a vida é outra coisa, que se resume às relações econômicas e de mercado, se não tivermos a certeza de que assim sempre fora. Há gritos por todo o planeta apelando pela preservação da natureza em sua totalidade, um apelo que, em última instância, tem como finalidade a preservação da vida da própria espécie humana. Nessa direção reflexiva, Stan Van Hooft nos ensina que “o substantivo ‘vida’ é uma abstração. Ele denota uma condição biológica ou categoria que, seja na frase ‘reverência pela vida’ ou ‘a santidade da vida, é ainda abstrata demais para entrar no discurso da ética da virtude. Como uma abstração, a noção de ‘vida’ encaixa-se facilmente nos discursos da teologia e da moralidade. Porquanto esses discursos descrevem os nossos deveres em termos universais, objetivos e absolutos, eles só podem usar a linguagem generalista cheia de abstrações. Embora esses termos sejam importantes, especialmente quando debatemos direito e políticas públicas, eles não captam os momentos de envolvimento íntimo com o que é precioso e vulnerável nas situações concretas nas quais a virtude é demandada. A ética da virtude é particularista: ela fala de coisas específicas. Portanto, ao invés de falar da ‘vida’, devemos falar de seres vivos em particular. Isso implicará divergentes compromissos com a ação quando nos aproximamos dos animais, da biosfera ou de outros seres humanos. E, nestes últimos, implicará respostas divergentes dependendo do ser humano diante de nós”. Hooft define o comportamento humano virtuoso apresentando proposições coerentes com o conteúdo do texto acima, sendo divergente apenas a seguinte proposição:
Provas
Caderno Container