Foram encontradas 30 questões.
Considere um Transformador Monofásico Ideal de 1kV/500 V cujo lado secundário está conectado a uma resistência elétrica de 2 Ω. Sabendo que a tensão terminal do lado de Alta Tensão é 1 kV, marque a alternativa que ilustra corretamente o
valor da corrente no lado de Alta Tensão desse transformador, em Amperes.
Provas
Questão presente nas seguintes provas
Existe uma região do espaço ao redor de uma carga elétrica onde suas propriedades elétricas são sentidas. Essa região é
conhecida como Campo Elétrico. Marque a alternativa que ilustra corretamente o módulo do Campo Elétrico produzido
por uma carga puntiforme, q, de 20 nC, em um ponto do campo que dista 0,5 m dessa carga.
Provas
Questão presente nas seguintes provas
Considere o Circuito Trifásico equilibrado mostrado na figura abaixo:
Onde:
Ra = Rb = Rc = 1 Ω
Rn = 5 Ω
Za = Zb = Zc = 2 + j4 (Ω)
Van = 150 ∠0° V
Vbn = 150 ∠-120° V
Vcn = 150 ∠120° V
Marque a alternativa que ilustra corretamente o valor da corrente na Linha a.
Onde:
Ra = Rb = Rc = 1 Ω
Rn = 5 Ω
Za = Zb = Zc = 2 + j4 (Ω)
Van = 150 ∠0° V
Vbn = 150 ∠-120° V
Vcn = 150 ∠120° V
Marque a alternativa que ilustra corretamente o valor da corrente na Linha a.
Provas
Questão presente nas seguintes provas
- Proteção de Sistemas ElétricosProteção em Média Tensão
- Sistemas Elétricos de PotênciaDistribuição de Energia Elétrica
Em uma subestação de 69 kV, sabe-se que o cabo que interliga o Transformador de Corrente (TC), de corrente nominal
secundária 5A, ao Relé Digital possui uma bitola de 4 mm2
, que o TC está localizado a uma distância de 10 m do Relé e que
a carga do Relé é de 2 VA. Considere a Impedância Ôhmica do cabo 0,5 + j0,2 (Ω/m). Marque a alternativa que ilustra corretamente o valor da Carga do TC, em VA, destinado à proteção de sobrecorrente principal dessa subestação.
Provas
Questão presente nas seguintes provas
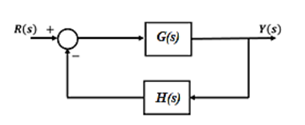
A figura abaixo apresenta um Sistema de Controle simples com realimentação negativa. Sabe-se que a razão entre a Transformada de Laplace do sinal de saída e a Transformada de Laplace do sinal de entrada de um sistema é conhecida como
Função de Transferência (FT).
Sabendo disso, marque a alternativa correta que ilustre a FT do sistema para uma situação particular em que o Ganho Direto, G(s), possui valor bastante elevado.
Sabendo disso, marque a alternativa correta que ilustre a FT do sistema para uma situação particular em que o Ganho Direto, G(s), possui valor bastante elevado.
Provas
Questão presente nas seguintes provas
Considere um Motor Síncrono trifásico com as seguintes características:
20 Pólos;
60 CV;
440 V;
60 Hz;
Sabendo que este Motor, quando ligado em estrela, trabalhando a vazio com tensão gerada por fase, possui o mesmo valor da tensão de fase aplicada a sua armadura. Sabendo ainda que, na condição a vazio, seu rotor atrasa-se de 0,75 graus mecânicos em relação a sua posição síncrona, marque a alternativa correta que indica o valor do giro do rotor em relação à posição síncrona.
20 Pólos;
60 CV;
440 V;
60 Hz;
Sabendo que este Motor, quando ligado em estrela, trabalhando a vazio com tensão gerada por fase, possui o mesmo valor da tensão de fase aplicada a sua armadura. Sabendo ainda que, na condição a vazio, seu rotor atrasa-se de 0,75 graus mecânicos em relação a sua posição síncrona, marque a alternativa correta que indica o valor do giro do rotor em relação à posição síncrona.
Provas
Questão presente nas seguintes provas
A NBR 5410 (Norma Brasileira de Instalações Elétricas de Baixa Tensão) estabelece em seu texto as condições mínimas de
segurança e o bom funcionamento aos sistemas elétricos de baixa tensão das edificações novas e existentes. Sobre os esquemas de aterramento presentes na NBR 5410, julgue os itens a seguir:
I. O esquema TN possui um ponto da alimentação diretamente aterrado, sendo as massas ligadas a esse ponto através de condutores de proteção.
II. O esquema TT possui um ponto da alimentação diretamente aterrado, estando as massas da instalação ligadas a eletrodo(s) de aterramento eletricamente distinto(s) do eletrodo de aterramento da alimentação.
III. No esquema IT todas as partes vivas são isoladas da terra ou um ponto da alimentação é aterrado através de impedância.
IV. No esquema TN-C-S, as funções de neutro e de proteção são combinadas, em parte, utilizando um único condutor.
Marque a alternativa correta.
I. O esquema TN possui um ponto da alimentação diretamente aterrado, sendo as massas ligadas a esse ponto através de condutores de proteção.
II. O esquema TT possui um ponto da alimentação diretamente aterrado, estando as massas da instalação ligadas a eletrodo(s) de aterramento eletricamente distinto(s) do eletrodo de aterramento da alimentação.
III. No esquema IT todas as partes vivas são isoladas da terra ou um ponto da alimentação é aterrado através de impedância.
IV. No esquema TN-C-S, as funções de neutro e de proteção são combinadas, em parte, utilizando um único condutor.
Marque a alternativa correta.
Provas
Questão presente nas seguintes provas
No que se refere ao software Autocad Autodesk, julgue os itens a seguir:
I. Os comandos LINE, CIRCLE, PLINE, RECTANGLE e ARC são conhecidos como comandos de desenho.
II. Os comandos MOVE, COPY, ROTATE, SCALE, ERASE, TRIM e EXTEND são conhecidos como comandos de modificação.
III. Na aba "Modify", estão presentes os comandos TEXT, DIMENSION, LINEAR, LEADER e TABLE.
IV. São conhecidos como comandos de manipulação e edição, os comandos: Z (Ajusta o zoom), P (Move a visualização no mesmo plano), ESC (Cancela o comando atual), F3 (Ativa/desativa o snap a objeto) e F5 (Alterna entre configurações de plano isométrico).
Marque a alternativa correta.
I. Os comandos LINE, CIRCLE, PLINE, RECTANGLE e ARC são conhecidos como comandos de desenho.
II. Os comandos MOVE, COPY, ROTATE, SCALE, ERASE, TRIM e EXTEND são conhecidos como comandos de modificação.
III. Na aba "Modify", estão presentes os comandos TEXT, DIMENSION, LINEAR, LEADER e TABLE.
IV. São conhecidos como comandos de manipulação e edição, os comandos: Z (Ajusta o zoom), P (Move a visualização no mesmo plano), ESC (Cancela o comando atual), F3 (Ativa/desativa o snap a objeto) e F5 (Alterna entre configurações de plano isométrico).
Marque a alternativa correta.
Provas
Questão presente nas seguintes provas
Na figura abaixo, ilustra-se um retificador de meia onda que está conectado a uma fonte de tensão AC de 70 V (RMS). Considere que a resistência de carga tenha um valor de 120 Ω.
Marque a alternativa que ilustre corretamente os valores da tensão média na carga (V0) e da corrente média na carga (I0)
Marque a alternativa que ilustre corretamente os valores da tensão média na carga (V0) e da corrente média na carga (I0)
Provas
Questão presente nas seguintes provas
Considerando a Lei nº 1.135/2018, que trata da Estrutura Organizacional da Administração Direta do Município de Juruti,
analise os itens abaixo:
I. É vedada a criação de cargo em comissão;
II. Atendidas as regras estabelecidas na legislação, será concedida gratificação de produtividade, inclusive aos cargos em comissão;
III. A gratificação concedida pelo exercício de função, chefia ou assessoramento, constitui vantagem transitória e não se incorpora ao vencimento ou provento.
Marque a única alternativa correta.
I. É vedada a criação de cargo em comissão;
II. Atendidas as regras estabelecidas na legislação, será concedida gratificação de produtividade, inclusive aos cargos em comissão;
III. A gratificação concedida pelo exercício de função, chefia ou assessoramento, constitui vantagem transitória e não se incorpora ao vencimento ou provento.
Marque a única alternativa correta.
Provas
Questão presente nas seguintes provas
Cadernos
Caderno Container