Foram encontradas 323 questões.
Provas
- Contratos em GeralClassificação dos Contratos
- Contratos em GeralPrincípios dos Contratos
- Espécies de Contrato
Julgue os itens seguintes em VERDADEIRO (V) ou FALSO (F), de acordo com a jurisprudência dominante atual do STJ:
I- Na hipótese em que a própria validade do contrato esteja sendo objeto de apreciação judicial pelo fato de que não houve instrumento de formalização assinado pelas partes, a cláusula de eleição de foro não deve prevalecer, ainda que prevista em contratos semelhantes anteriormente celebrados entre as partes.
II- Tratando-se de relação contratual paritária (não regida pelas normas consumeristas), a maxidesvalorização do real em face do dólar americano ocorrida a partir de janeiro de 1999 autoriza a aplicação da teoria da imprevisão ou da teoria da onerosidade excessiva, com intuito de promover a revisão de cláusula de indexação ao dólar americano.
III- A teoria da base objetiva ou da base do negócio jurídico tem sua aplicação restrita às relações jurídicas de consumo, não sendo aplicável às contratuais puramente civis.
IV- Inexistindo pactuação dispondo em sentido contrário, a obrigação de pagar a comissão de corretagem é daquele que efetivamente contrata o corretor.
Marque a alternativa que apresenta o julgamento correto dos itens:
Provas
Disciplina: Direito Tributário
Banca: CETAP
Orgão: Pref. São Miguel Guamá-PA
Provas
Provas
Provas
Provas
Provas
Disciplina: Literatura Brasileira e Estrangeira
Banca: CETAP
Orgão: Pref. São Miguel Guamá-PA
I- "rosa rilke raimundo correia
Uma pálpebra,
Mais uma, mais outras,
enfim, dezenas
de pálpebras sobre pálpebras
tentando fazer
das minhas trevas
alguma coisa a mais
que lágrimas."
II- "merda e ouro
Merda é veneno,
No entanto, não há nada
que seja mais bonito
que uma bela cagada.
Cagam ricos, cagam padres,
cagam reis e cagam fadas.
Não há merda que se compare
à bosta da pessoa amada."
III- "Que o pólen de ouro dos mais finos astros
Fecunde e inflame a rima clara e ardente ...
Que brilhe a correção dos alabastros
Sonoramente, luminosamente."
IV- "Invejo o ourives quando escrevo:
Imito o amor
Com que ele em ouro o alto relevo
Faz de uma flor."
Provas
Disciplina: Legislação Municipal
Banca: CETAP
Orgão: Pref. São Miguel Guamá-PA
Provas
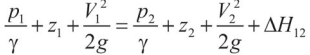
Tendo por base a equação de Bernoulli, indicada a seguir, do PTV1. assinale a alternativa INCORRETA.

Provas
Caderno Container