Foram encontradas 1.060 questões.
Leia o enunciado a seguir e responda à questão.
Paciente do sexo masculino, 59 anos, ex-tabagista, portador de doença pulmonar obstrutiva crônica, procura atendimento médico por quadro de tosse com expectoração amarelada há pelo menos 10 dias, com piora nos últimos 3 dias, relatando intensificação da tosse, associada a dispneia intensa e chiado no peito. O paciente encontrava-se consciente, orientado no tempo e no espaço, hemodinamicamente estável, taquidispneico. O exame físico evidenciou estertores subcrepitantes em base do hemitórax esquerdo e sibilos inspiratórios e expiratórios, com fala entrecortada e tiragem intercostal. A gasometria arterial, em ar ambiente, mostra: pH = 7,29, pO2 = 49, pCO2 = 68, bicarbonato = 41, SO2 = 86%.
A melhor abordagem terapêutica desse paciente será:
Provas
Questão presente nas seguintes provas
Sobre o Regulamento dos Serviços Públicos de Água, Esgoto e Drenagem Pluvial do Município de Sorocaba, é correto afirmar que
Provas
Questão presente nas seguintes provas
Freire afirma que “[...] Não posso escapar à apreciação dos alunos. E a maneira como eles me percebem tem importância capital para o meu desempenho. Daí, então, que uma das minhas preocupações centrais deve ser a de procurar a aproximação cada vez maior entre o que digo e o que faço, entre o que pareço ser e o que realmente estou sendo.”
A concepção correspondente ao que defende Freire no fragmento do texto é
Provas
Questão presente nas seguintes provas
Para responder à questão, leia o texto.
Embalagem comestível
Revestimento orgânico protege frutas, legumes e carnes
A novidade faz parte de um estudo realizado em parceria entre pesquisadores brasileiros e portugueses para o desenvolvimento de filmes e revestimentos comestíveis para fins alimentares. Os nanofilmes ou nanorevestimentos comestíveis são películas finas incolores, invisíveis a olho nu, que envolvem completamente o alimento. São constituídos por várias camadas de polissacarídeos naturais, tais como a quitosana, o alginato, o policaju e a pectina. A embalagem serve para prolongar o tempo de prateleira de frutas, verduras, laticínios, carnes, pescados e outros alimentos perecíveis.
(Revistapesquisa.fapesp.br Edição Impressa 188 – Outubro 2011. Adaptado)
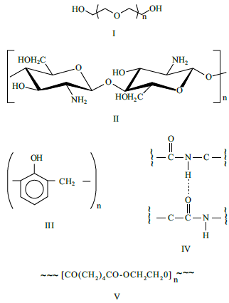
Considere as estruturas representadas a seguir.

É correto afirmar que as nanopelículas comestíveis, quando aplicadas na superfície de frutas, legumes e carnes, prolongam o tempo de prateleira desses alimentos porque
Provas
Questão presente nas seguintes provas
1654817
Ano: 2011
Disciplina: Direito da Criança e do Adolescente
Banca: VUNESP
Orgão: Pref. Sorocaba-SP
Disciplina: Direito da Criança e do Adolescente
Banca: VUNESP
Orgão: Pref. Sorocaba-SP
- ECAGeralDireitos Fundamentais (art. 7º ao 69)Do Direito à Educação, à Cultura, ao Esporte e ao Lazer (Art. 53 a 59)
Daiana, de 10 anos, é aluna do 3.º ano do Ensino Fundamental. Apresenta defasagem idade-série, uma vez que sua mãe a matriculou no 1.º ano após a idade prevista em lei. É uma criança miúda, desatenta, indisciplinada. Frequentemente recusa-se a fazer as tarefas passadas pela professora. Não raro, agride oral ou fisicamente seus colegas e emprega palavras de baixo calão. Quando a situação fica difícil demais, sem saber como agir, a professora a envia para a Diretoria. Certa manhã, Daiana chegou atrasada, como é seu costume, mas sentou-se em sua carteira, quieta, sem molestar os colegas ou tomar alguma atitude para “aparecer”, como é o usual. Estranhando o comportamento de Daiana, a professora chegou-se a ela e percebeu que seus cabelos soltos escondiam hematomas na face. Levou-a para a Diretoria e lá verificaram que a blusa de mangas compridas também encobria marcas de espancamento. A diretora e a professora tomaram consciência de que o caso era grave e que era necessário agir conforme determina o Estatuto da Criança e do Adolescente (ECA), Lei n.º 8.069/90. Assinale qual das ações a seguir corresponde ao que dispõem os artigos 13 e 56 do ECA em relação à situação considerada.
Provas
Questão presente nas seguintes provas
Recém-nascido com 26 dias de vida, nascido com 32 semanas de gestação, apresenta os seguintes exames: Hb 8 g/dL, Htc 25%, reticulócitos 1,5%.
Nesse momento, o fator causal principal da anemia é:
Provas
Questão presente nas seguintes provas
Após a 1.ª Guerra Mundial, é dada ênfase a tudo o que une os americanos na história dos EUA, principalmente àquilo que forjara a Nação. Os conflitos do passado são minimizados, mesmo a Guerra de Secessão; insiste-se em suas consequências desastrosas mais do que sobre suas causas.
(Marc Ferro, A manipulação da história no ensino e nos meios de comunicação. Adaptado)
Retomar as causas da Guerra de Secessão poderia expor uma história permeada por conflitos e tensões sociais ao
Provas
Questão presente nas seguintes provas
Entre as marcas do breve mandato de Jânio Quadros como presidente está
Provas
Questão presente nas seguintes provas
Considere a tabela, adaptada de Koch & Elias (Ler e escrever estratégias de produção textual), para responder à questão
| I | II |
| contextualizada | descontextualizada |
| implícita | explícita |
| redundante | condensada |
| não planejada | planejada |
| predominância do modus pragmático | predominância do modus sintático |
| fragmentada | não fragmentada |
| incompleta | completa |
| pouco elaborada | elaborada |
| pouca densidade informacional | densidade informacional |
| predominância de frases curtas, simples ou coordenadas | predominância de frases complexas, com subordinação abundante |
| pequena frequência de passivas | emprego frequente de passivas |
| poucas nominalizações | abundância de nominalizações |
| menor densidade lexical | maior densidade lexical |
As informações apresentadas em I e II caracterizam, por exemplo, correta e respectivamente, as seguintes situações comunicativas:
Provas
Questão presente nas seguintes provas
1654571
Ano: 2011
Disciplina: Segurança Privada e Transportes
Banca: VUNESP
Orgão: Pref. Sorocaba-SP
Disciplina: Segurança Privada e Transportes
Banca: VUNESP
Orgão: Pref. Sorocaba-SP
Provas:
O componente indicado na figura pelos números 1 e 2 tem como função

Provas
Questão presente nas seguintes provas
Cadernos
Caderno Container