Foram encontradas 294 questões.
- Gestão Estratégica
- PODC: Processo OrganizacionalProcesso Administrativo: OrganizaçãoEstratégia Organizacional
Concebe-se que um processo de administração estratégica tem como fases principais a Formulação da Estratégia, a Operacionalização da Estratégia e o Acompanhamento e Controle. Na última fase (acompanhamento e controle), podemos afirmar que:
Provas
Questão presente nas seguintes provas
- Gestão Estratégica
- PODC: Processo OrganizacionalProcesso Administrativo: OrganizaçãoEstratégia Organizacional
Segundo Matias-Pereira, o alcance de resultados positivos na implementação de planejamento estratégico, principalmente na administração pública, depende das condições e formas para a sua concretização. Destacam-se as abaixo listadas, com exceção de:
Provas
Questão presente nas seguintes provas
Bennis procura enfatizar as diferenças fundamentais entre os sistemas mecânicos e os sistemas orgânicos, típicos de abordagem do Desenvolvimento Organizacional. Constitui uma importante característica de Sistemas Orgânicos:
Provas
Questão presente nas seguintes provas
Um planejamento é estratégico quando se dá ênfase ao aspecto:
Provas
Questão presente nas seguintes provas
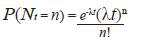
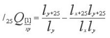
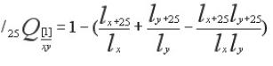
Assinale a opção que completa de forma correta o seguinte caso:
"Um casal deseja saber qual é a formulação atuarial relativa à probabilidade de que apenas um dos componentes do casal esteja vivo, após os 25 anos seguintes."
"Um casal deseja saber qual é a formulação atuarial relativa à probabilidade de que apenas um dos componentes do casal esteja vivo, após os 25 anos seguintes."
Provas
Questão presente nas seguintes provas
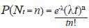
O prêmio puro de um Seguro OV - Mensal, que consista no pagamento de um Benefício unitário ao fi nal do ano, caso ocorra o óbito do segurado naquele ano, e considerando que o prêmio seja pago no início de cada mês, de forma imediata e vitalícia, em ambos os casos - Benefício e pagamento dos Prêmios, independente da condição de ativo ou inválido, pelas funções de comutação subanuais, será dado por:
Provas
Questão presente nas seguintes provas
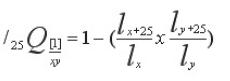
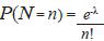
Considerando que a variável número de sinistros
tem distribuição de Poisson, dada por:

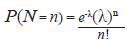
cujo modelo para os riscos anuais é dado por:
tem distribuição de Poisson, dada por:
cujo modelo para os riscos anuais é dado por:
Provas
Questão presente nas seguintes provas
Um círculo está inscrito em um triângulo isósceles de base 6 e altura 4. Calcule o raio desse círculo.
Provas
Questão presente nas seguintes provas
Um pai deseja dividir uma fazenda de 500 alqueires entre seus três filhos, na razão direta da quantidade de filhos que cada um tem e na razão inversa de suas rendas. Sabendo-se que a renda do filho mais velho é duas vezes a renda do filho mais novo e que a renda do filho do meio é três vezes a renda do mais novo, e que, além disso, o filho mais velho tem três filhos, o filho do meio tem dois filhos e o filho mais novo tem dois filhos, quantos alqueires receberá o filho do meio?
Provas
Questão presente nas seguintes provas
No sistema de juros compostos, o Banco X oferece uma linha de crédito ao custo de 80 % ao ano com capitalização trimestral. Também no sistema de juros compostos, o Banco Y oferece a mesma linha de crédito ao custo dado pela taxa semestral equivalente à taxa cobrada pelo Banco X. Maria obteve 100 unidades monetárias junto ao Banco X, para serem pagas ao final de um ano. Mário, por sua vez, obteve 100 unidades monetárias junto ao Banco Y para serem pagas ao final de um semestre. Sabendo-se que Maria e Mário honraram seus compromissos nos respectivos períodos contratados, então os custos percentuais efetivos pagos por Maria e Mário, foram, respectivamente, iguais a:
Provas
Questão presente nas seguintes provas
Cadernos
Caderno Container