Foram encontradas 70 questões.

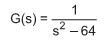
Considere o sistema de controle configurado na figura acima, onde a planta G(s) é INSTÁVEL, e deseja-se estabilizá-la e controlá-la com ajuda de um compensador do tipo H(s). Usa-se a técnica de cancelamento de polos da planta para reduzir a ordem do sistema. O engenheiro projetista achou, em seu cálculo, o ganho K = 125. Assim, os polos do sistema em malha fechada estarão posicionados em
Provas
A função de transferência no domínio de Laplace de um sistema linear é dada por
onde Y(s) é a variável de saída e R(s), a variável de entrada. Nos três itens a seguir, considere as condições iniciais NULAS.
O valor inicial, em t = 0, do sinal de saída desse sistema, quando se aplica um impulso unitário na entrada, é
Provas
A função de transferência no domínio de Laplace de um sistema linear é dada por
onde Y(s) é a variável de saída e R(s), a variável de entrada. Nos três itens a seguir, considere as condições iniciais NULAS.
Para uma entrada degrau unitário, a saída desse sistema atinge a condição de regime permanente num tempo aproximadamente igual a
Provas
A função de transferência no domínio de Laplace de um
sistema linear é dada por
onde Y(s) é a variável de saída e R(s), a variável de entrada. Nos três itens a seguir, considere as condições iniciais NULAS.
O valor da resposta em regime permanente desse sistema, para uma entrada tipo degrau unitário, é
Provas

A Função de Transferência de Malha Aberta (FTMA) da estrutura de controle mostrada na figura acima é
Provas

Quando instalado em um sistema de controle, o circuito analógico mostrado na figura acima, que utiliza um amplificador operacional considerado ideal, corresponde a um
Provas
By Rachel Ehrenberg Science News, Web edition: Monday, February 21st, 2011
WASHINGTON — Getting blood or other perishable supplies to an area that’s been struck by an earthquake or hurricane isn’t as simple as asking what brown can do for you. But a new model quickly determines the best routes and means for delivering humanitarian aid, even in situations where bridges are out or airport tarmacs are clogged with planes.
The research, presented February 18 at the annual meeting of the American Association for the Advancement of Science, could help get supplies to areas which have experienced natural disasters or help prepare for efficient distribution of vaccines when the flu hits.
Efficient supply chains have long been a goal of manufacturers, but transport in fragile networks — where supply, demand and delivery routes may be in extremely rapid flux — requires a different approach, said Anna Nagurney of the University of Massachusetts Amherst, who presented the new work. Rather than considering the shortest path from one place to another to maximize profit, her system aims for the cleanest path at minimum cost, while capturing factors such as the perishability of the product and the uncertainty of supply routes. ‘You don’t know where demand is, so it’s tricky,’ said Nagurney. ‘It’s a multicriteria decision-making problem.’
By calculating the total cost associated with each link in a network, accounting for congestion and incorporating penalties for time and products that are lost, the computer model calculates the best supply chain in situations where standard routes may be disrupted.
‘Mathematical tools are essential to develop formal means to predict, and to respond to, such critical perturbations,’ said Iain Couzin of Princeton University, who uses similar computational tools to study collective animal behavior. ‘This is particularly important where response must be rapid and effective, such as during disaster scenarios … or during epidemics or breaches of national security.
’ The work can be applied to immediate, pressing situations, such as getting blood, food or medication to a disaster site, or to longer-term problems such as determining the best locations for manufacturing flu vaccines. . Retrieved April 7th, 2011.
Provas
By Rachel Ehrenberg Science News, Web edition: Monday, February 21st, 2011
WASHINGTON — Getting blood or other perishable supplies to an area that’s been struck by an earthquake or hurricane isn’t as simple as asking what brown can do for you. But a new model quickly determines the best routes and means for delivering humanitarian aid, even in situations where bridges are out or airport tarmacs are clogged with planes.
The research, presented February 18 at the annual meeting of the American Association for the Advancement of Science, could help get supplies to areas which have experienced natural disasters or help prepare for efficient distribution of vaccines when the flu hits.
Efficient supply chains have long been a goal of manufacturers, but transport in fragile networks — where supply, demand and delivery routes may be in extremely rapid flux — requires a different approach, said Anna Nagurney of the University of Massachusetts Amherst, who presented the new work. Rather than considering the shortest path from one place to another to maximize profit, her system aims for the cleanest path at minimum cost, while capturing factors such as the perishability of the product and the uncertainty of supply routes. ‘You don’t know where demand is, so it’s tricky,’ said Nagurney. ‘It’s a multicriteria decision-making problem.’
By calculating the total cost associated with each link in a network, accounting for congestion and incorporating penalties for time and products that are lost, the computer model calculates the best supply chain in situations where standard routes may be disrupted.
‘Mathematical tools are essential to develop formal means to predict, and to respond to, such critical perturbations,’ said Iain Couzin of Princeton University, who uses similar computational tools to study collective animal behavior. ‘This is particularly important where response must be rapid and effective, such as during disaster scenarios … or during epidemics or breaches of national security.
’ The work can be applied to immediate, pressing situations, such as getting blood, food or medication to a disaster site, or to longer-term problems such as determining the best locations for manufacturing flu vaccines. . Retrieved April 7th, 2011.
Provas
By Rachel Ehrenberg Science News, Web edition: Monday, February 21st, 2011
WASHINGTON — Getting blood or other perishable supplies to an area that’s been struck by an earthquake or hurricane isn’t as simple as asking what brown can do for you. But a new model quickly determines the best routes and means for delivering humanitarian aid, even in situations where bridges are out or airport tarmacs are clogged with planes.
The research, presented February 18 at the annual meeting of the American Association for the Advancement of Science, could help get supplies to areas which have experienced natural disasters or help prepare for efficient distribution of vaccines when the flu hits.
Efficient supply chains have long been a goal of manufacturers, but transport in fragile networks — where supply, demand and delivery routes may be in extremely rapid flux — requires a different approach, said Anna Nagurney of the University of Massachusetts Amherst, who presented the new work. Rather than considering the shortest path from one place to another to maximize profit, her system aims for the cleanest path at minimum cost, while capturing factors such as the perishability of the product and the uncertainty of supply routes. ‘You don’t know where demand is, so it’s tricky,’ said Nagurney. ‘It’s a multicriteria decision-making problem.’
By calculating the total cost associated with each link in a network, accounting for congestion and incorporating penalties for time and products that are lost, the computer model calculates the best supply chain in situations where standard routes may be disrupted.
‘Mathematical tools are essential to develop formal means to predict, and to respond to, such critical perturbations,’ said Iain Couzin of Princeton University, who uses similar computational tools to study collective animal behavior. ‘This is particularly important where response must be rapid and effective, such as during disaster scenarios … or during epidemics or breaches of national security.
’ The work can be applied to immediate, pressing situations, such as getting blood, food or medication to a disaster site, or to longer-term problems such as determining the best locations for manufacturing flu vaccines. . Retrieved April 7th, 2011.
Provas
- Gramática - Língua InglesaPronomes | PronounsPronome relativo | Relative clauses
- Gramática - Língua InglesaPronomes | PronounsPronome demonstrativo | Demonstrative pronoun
By Rachel Ehrenberg Science News, Web edition: Monday, February 21st, 2011
WASHINGTON — Getting blood or other perishable supplies to an area that’s been struck by an earthquake or hurricane isn’t as simple as asking what brown can do for you. But a new model quickly determines the best routes and means for delivering humanitarian aid, even in situations where bridges are out or airport tarmacs are clogged with planes.
The research, presented February 18 at the annual meeting of the American Association for the Advancement of Science, could help get supplies to areas which have experienced natural disasters or help prepare for efficient distribution of vaccines when the flu hits.
Efficient supply chains have long been a goal of manufacturers, but transport in fragile networks — where supply, demand and delivery routes may be in extremely rapid flux — requires a different approach, said Anna Nagurney of the University of Massachusetts Amherst, who presented the new work. Rather than considering the shortest path from one place to another to maximize profit, her system aims for the cleanest path at minimum cost, while capturing factors such as the perishability of the product and the uncertainty of supply routes. ‘You don’t know where demand is, so it’s tricky,’ said Nagurney. ‘It’s a multicriteria decision-making problem.’
By calculating the total cost associated with each link in a network, accounting for congestion and incorporating penalties for time and products that are lost, the computer model calculates the best supply chain in situations where standard routes may be disrupted.
‘Mathematical tools are essential to develop formal means to predict, and to respond to, such critical perturbations,’ said Iain Couzin of Princeton University, who uses similar computational tools to study collective animal behavior. ‘This is particularly important where response must be rapid and effective, such as during disaster scenarios … or during epidemics or breaches of national security.
’ The work can be applied to immediate, pressing situations, such as getting blood, food or medication to a disaster site, or to longer-term problems such as determining the best locations for manufacturing flu vaccines. . Retrieved April 7th, 2011.
Provas
Caderno Container