Foram encontradas 1.135 questões.
Sejam X1, X2,..., Xn, uma amostra aleatória de tamanho n na qual os Xi´s são variáveis aleatórias independentes, cada uma com distribuição normal reduzida. Então, !$ \sum_{i=1}^n x_i^2 !$ tem distribuição
Provas
Para um modelo de regressão linear ajustado yˆ = a + bx , a Tabela apresenta os seguintes resultados:
| F.V. | G.L | S.Q. | Q.M. | F |
| Regressão | 1 | 542,2 | 542,2 | f |
| Resíduo | 18 | 589,01 | 32,72 | |
| Total | 19 | 1131,21 | 59,54 |
Com os dados da Tabela, pode-se concluir que
Provas
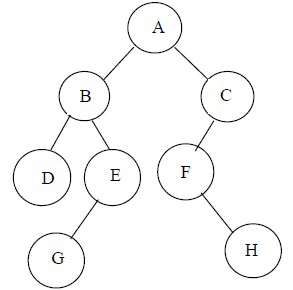
A sequência que contém os caminhamentos pré-fixado, central e pós-fixado, respectivamente, da árvore binária abaixo é

Provas
De acordo com a Lei de Diretrizes e Bases da Educação, em seu artigo 58, o atendimento educacional será feito em classes, escolas ou serviços especializados,
Provas
A Política Nacional de Educação Especial na Perspectiva da Educação Inclusiva tem como objetivo
Provas
De acordo com a Lei nº 12.319/2010, que regulamenta a profissão de tradutor e intérprete da Língua Brasileira de Sinais – LIBRAS, o tradutor e intérprete terá competência para realizar a interpretação
Provas
De acordo com o Decreto 5626/05, considera-se deficiência auditiva a perda
Provas
A LIBRAS deve ser inserida como disciplina curricular nos cursos de formação de professores para o exercício do magistério em e nos cursos de Fonoaudiologia de instituições de ensino públicas e privadas do sistema federal de ensino e dos sistemas de ensino dos Estados, do Distrito Federal e dos Municípios. Os termos que preenchem as lacunas deste enunciado são, respectivamente,
Provas
Admite-se como formação mínima de docentes para o ensino de LIBRAS na educação infantil e nos anos iniciais do ensino fundamental a formação ofertada em nível
Provas
Quando a surdez é vista como deficiência em relação à comunidade ouvinte, colocando os sujeitos surdos em desvantagem, se comparados à maioria da população, estamos diante da concepção de surdez. O termo que preenche a lacuna deste enunciado é
Provas
Caderno Container