Foram encontradas 13.241 questões.

Quando várias reações ocorrem em sequência em um mesmo recipiente, são chamadas de reações dominó ou reações em cascata. Esse tipo de reação pode ser observado na síntese total do alcaloide indólico (+/!)-aspidospermidina, mostrada na figura acima, em que os anéis B, C e D são formados. Acerca dessa reação, assinale a opção correta.
Provas

O uso de reagentes organometálicos é bem frequente na síntese orgânica, especialmente os reagentes de Grignard. Uma das etapas da síntese do aminoácido não proteinogênico surrogate envolve o uso de reagentes de Grignard. Com base na figura apresentada, que ilustra a referida síntese, assinale a opção correta.
Provas

A classe das quinolonas apresenta atividade antibacteriana, particularmente contra as bactérias Gram-positivas. A norfloxacina, a ciprofloxacina e a ofloxacina são antibióticos quinolônicos de segunda geração muito usados no tratamento de infecção urinária. Com base na rota de síntese apresentada na figura acima, assinale a opção correta.
Provas

Considerando a figura acima, que apresenta a síntese racêmica do alcaloide (+/!)-hidroxicrebanina, assinale a opção correta.
Provas

A salinosporamida A foi isolada de microrganismos marinhos e possui alta atividade citotóxica e antitumoral. Com base no esquema apresentado na figura acima, assinale a opção correta.
Provas

A (S)-camptotecina é um alcaloide pentacíclico usado no tratamento do câncer. Considerando a figura acima, que apresenta um esquema para a síntese desse composto, assinale a opção correta.
Provas

A procura e o consumo do antiviral tamiflu expandiram-se com o surto da gripe suína em 2009. Esse antiviral pode ser produzido a partir do ácido quiral (!)-shikimico, como mostrado na figura acima. Com base nessa figura, assinale a opção correta.
Provas

As reações de Ugi são importantes métodos sintéticos que se enquadram na definição de reações multicomponentes. Nessas reações são obtidas estruturas complexas, em que quatro substâncias diferentes reagem para produzir peptoides com amplo espectro de atividades farmacológicas. A ecteinascidina 743, cuja síntese é mostrada na figura acima, é um agente antitumoral extremamente potente isolado de um tunicado marinho. Com relação ao assunto e à reação mostrada, assinale a opção correta.
Provas

Metodologias assimétricas são frequentemente utilizadas na síntese de diversas substâncias biotivas. Entre esses métodos, está a reação de redução assimétrica desenvolvida por Noyori, em que altos excessos enantioméricos são obtidos utilizando catalisadores de rutênio. Com relação à figura acima, assinale a opção correta.
Provas

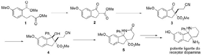
Com base na figura acima e em relação às condições reacionais para a obtenção de cada intermediário sintético, assinale a opção correta.
Provas
Caderno Container