Foram encontradas 13.241 questões.
A reação de Grignard é um dos métodos mais importantes de formação de ligação carbono-carbono, com variadas aplicações em síntese de compostos com atividade farmacológica. Julgue os itens a seguir relativos a essa reação.
I Os reagentes organometálicos de Grignard não reagem com solventes próticos, possibilitando que a reação seja feita em meio aquoso.
II Os reagentes de Grignard podem ser obtidos pela reação de um haleto de alquila ou de arila com magnésio metálico.
III A adição de um reagente de Grignard a um aldeído ou a uma cetona fornece, como produtos, um álcool primário e um álcool secundário, respectivamente.
IV Solventes etéreos são excelentes solventes para essa reação, pois estabilizam o composto organometálico.
Assinale a opção correta.
A Apenas o item I está certo.
Provas

A mifespristona, popularmente conhecida como pílula do dia seguinte, bloqueia a ação do hormônio feminino progesterona e, por isso, apresenta efeito abortivo no início da gravidez (6 a 8 semanas). A respeito da rota sintética dessa molécula, assinale a opção correta, considerando a figura acima.
Provas

O albuterol é um broncodilatador utilizado no tratamento da asma. Acerca da sequência sintética acima, assinale a opção correta.
Provas

As reações de Mukaiyama nada mais são que reações de aldol utilizando sililenoléteres. Algumas metodologias assimétricas dessa reação vêm sendo desenvolvidas e aplicadas na síntese estereosseletiva de inúmeras moléculas bioativas. Um exemplo dessa aplicação pode ser observado na síntese de dois fragmentos da esfingofungina B utilizando a reação de aldol de Mukaiyama, ilustrada na figura acima. Com relação a essas reações, assinale a opção correta.
Provas

O potente antibiótico antitumoral MACROLÍDEO (!)-laulimalido possui um estrutura macrocíclica de 18 membros e algumas etapas de sua rota sintética estereosseletiva estão representadas na figura acima. Considerando essa rota sintética, assinale a opção correta.
Provas

A reação de alquilação de Meyers utiliza como auxiliar quiral a D- ou L-efedrina. A (!)-dictiostatina, cuja síntese é ilustrada acima, é um macrolídeo natural com atividade antitumoral que foi sintetizada usando a metodologia de Meyers. Acerca dessa reação, assinale a opção correta.
Provas

A loratadina, cuja síntese é representada acima, é um potente anti-histamínico com atividade sedativa. Com relação a essa reação, assinale a opção correta.
Provas

A gastrite ácida tem sido identificada como um dos maiores fatores que contribuem para o desenvolvimento de úlceras gástricas. Um dos medicamentos para o tratamento da inibição da secreção ácida gástrica que leva a quadros sintomáticos de gastrite é o omeprazol. Considerando a figura acima, que revela a síntese do omeprazol, assinale a opção correta.
Provas

A estimulação excessiva da secreção ácida produzida nas células do estômago pode levar a lesões graves da mucosa que reveste a parede do estômago e à formação de úlceras gástricas. Esse tipo de estimulação pode ser combatida com o tratamento que utiliza ranitidina, um antagonista dos receptores histamínicos H2, que leva ao alívio do mal-estar. Com base na figura acima, assinale a opção correta.
Provas

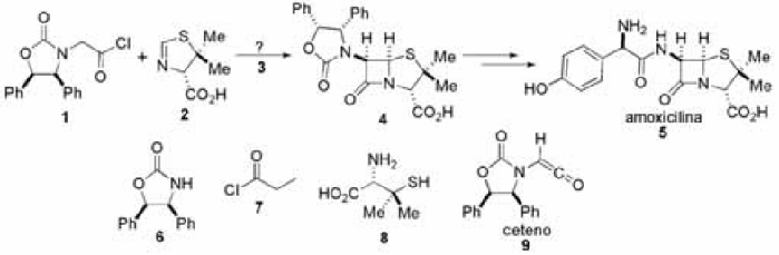
A amoxicilina é um antibiótico amplamente utilizado pela população que apresenta em sua estrutura um anel lactâmico. Considerando a figura acima, que ilustra a síntese da amoxicilina, assinale a opção correta.
Provas
Caderno Container