Foram encontradas 1.600 questões.
Numa entrega de concreto usinado, foram extraídos corpos de prova que apresentaram os resultados de rompimento aos 28 dias, expressos a seguir: Corpo de prova 1 – 26,5MPa, corpo de prova 2 – 28,3MPa e corpo de prova 3 – 27,2MPa. Considerando que a obra terá um controle rígido de execução, qual é o fck desta amostra?
Provas
Questão presente nas seguintes provas
O processo de defumação constitui a etapa final de vários produtos derivados da carne. Durante a combustão da madeira, vários compostos são formados, com diferentes efeitos sobre o produto.
Relacione a 2ª coluna de acordo com a 1ª, para os compostos gerados pela defumação tradicional e suas características.
1 – Fenóis
2 – Ácidos orgânicos
3 – Carbonilas
4 – Hidrocarbonetos
5 – Compostos gasosos
( ) CO2, CO, O2, N2, NO.
( ) Os de cadeia curta são importantes para cor, aroma e sabor. Os policíclicos são cancerígenos e devem ser evitados
( ) Formados somente na defumação a quente.
( ) Conservantes pela acidez superficial em carnes defumadas e coagulação de proteínas na superfície
( ) Condensação superficial no produto e confere cor e aroma característicos
( ) Antioxidantes e bacteriostáticos
A seqüência que representa a resposta correta é
Provas
Questão presente nas seguintes provas
Entre as alternativas abaixo, é realizado no segundo S, do programa 5S,
Provas
Questão presente nas seguintes provas
A linha “B !$ \rightarrow !$ B + 2” utilizada em algoritmos, na Linguagem C, seria implementada por
Provas
Questão presente nas seguintes provas
Muitas das reações que ocorrem na atmosfera utilizam como fonte de energia a luz solar. Qual seria a energia em joule de uma radiação com comprimento de onda ( no vácuo) de 241 nm.
Provas
Questão presente nas seguintes provas
Observe a figura abaixo:

Se o ângulo ‘!$ \alpha !$’ indicado no desenho for 30º, o tipo de perspectiva da figura é
Provas
Questão presente nas seguintes provas
Muitas são as implicações da ciência no campo do fazer artístico. Arte e ciência andam de braços dados desde a alvorada do século XVI, quando Leonardo da Vinci (1452-1519) ousou desafiar a bula Extravagante, do papa Bonifácio VIII, correndo o risco de enfrentar os tribunais da Inquisição para participar dos trabalhos de dissecação de cadáveres humanos promovido por Marco Antonio della Torre. No século seguinte, Rembrandt traz esse tema para sua pintura, dando continuidade para um diálogo entre Arte e ciência que segue até os dias de hoje, chegando-se a contemporaneidade com inúmeros artistas que baseiam suas obras em conceitos científicos.
Nas peças de arte escolhidas para a 4ª Bienal de Artes Visuais do Mercosul de Porto Alegre, foram apresentadas obras que tratam dessa questão da vida humana. Pode-se verificar muitas dessas relações com o genoma, com o DNA, com moléculas e com tantas modificações possíveis, imagináveis ou mesmo ainda inimagináveis.
Associe adequadamente cada uma das inflexões descritas no bloco inferior a respectiva artista que participou da mostra e que trata do diálogo Arte e ciência.
1 – Laura Lima
2 – Lia Menna Barreto
3 – Lygia Pape
4 – Rosana Paulino
( ) Apresenta suas mutantes que integram a série das Tecelãs. São figuras metade mulher, metade inseto, resultantes do desdobramento das séries Aracnes, Casulos e Ovos, nas quais a mulher foi sempre o foco da atenção da artista.
( ) Revitaliza o passado por meio de um movimento sugerido em uma tela de autor desconhecido do século XVI, que trata de um baile na corte de Henrique III. A artista recria essa cena com novas vestimentas e composição. Estabelece, na passagem da condição primeira ao estágio atual, os códigos de referência, expressão e comunicação como uma herança, um fenômeno de continuidade.
( ) Brinca ao formar novas espécies por meio de diversas mutações, dando-nos uma obra muito bem-humorada. Animais de plástico (lagartixas, sapos...) que, por um ato forçado de alteração por meio do calor, tornam-se belos, apesar dos defeitos aparentes.
( ) Espalha por uma grande área representando testes de DNA, um grande conjunto de bacias brancas, com diversos líquidos coloridos. Sob estas bacias arroz e feijão. A artista propõe uma interpretação para o DNA do povo brasileiro. Mostra que, no fundo, a nossa mistura de raças faz parte de nossa cultura.
A sequência correta de preenchimento dos parênteses, de cima para baixo, é:
Provas
Questão presente nas seguintes provas
A realidade virtual na área de arte tem possibilitado projetos bastante promissores, que transformam a obra de arte fechada em um sistema dinâmico que se desenvolve a partir da relação com o interator. No Brasil o Grupo Artecno, coordenado pela artista Diana Domingues, vem realizando inúmeros projetos com poéticas imersivas, nos quais o interator tem a possibilidade de imergir em ambientes virtuais.
Assinale a alternativa que contenha um projeto de trabalho imersivo realizado pelo Grupo Artecno e Diana Domingues.
( ) Projeto HeartScapes, o interator tem a possibilidade de imergir em um coração simulado, usando dispositivos que propiciam navegação espacial e estereoscopia, além de biofeedbaks de sinais do corpo.
( ) Projeto OP_ERA, ambiente de realidade virtual que explora conceitos do espaço. Colocando óculos de estereoscopia e utilizando dispositivos manuais, o interator é convidado a mergulhar em um espaço-tempo abstrato que se desdobra em mundos virtuais interconectados, onde linhas, sons, formas geométricas e cores interagem em tempo real com o interator, de acordo com seu movimento corporal.
( ) Projeto A doença, o interator é convidado a deitar em um beliche. Ao se deitar, depara com a projeção da imagem de um corpo que, à semelhança do seu, também está deitado em uma cama e se movimenta lentamente.
( ) Projeto webPaisagem 0, um banco de dados é reconstruído permanentemente a partir das reciclagens e mixagens feitas pelos próprios internautas. Suas múltiplas leituras, desdobramentos e apropriações mostram a estrutura compartilhada do projeto, em uma proposta desautorizada e sampleada, típica da cultura digital.
A sequência correta de preenchimento dos parênteses, de cima para baixo, é
Provas
Questão presente nas seguintes provas
A tensão num capacitor pode ser expressa em termos de corrente por !$ v(t)= { \large 1 \over C} \int \, i \, dt. !$ Sabendo que a forma de onda da corrente aplicada a um capacitor de 5 !$ \mu !$F é dada por

Conclui-se que a resultante forma de onda da tensão é
Provas
Questão presente nas seguintes provas
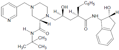
Um medicamento importante no tratamento da AIDS é o Crixivan, cuja molécula está abaixo representada.

Sobre esta estrutura, são dadas as seguintes afirmativas:
I. Apresenta 8 ligações pi.
II. Possui 19 carbonos sp2.
III. Sua fórmula molecular é C36H47O5N4. O4N5
IV. Faz ligações de Hidrogênio com a água.
Estão corretas apenas as afirmativas
Provas
Questão presente nas seguintes provas
Cadernos
Caderno Container