Foram encontradas 2.308 questões.
Considere desprezível a resistência do elemento filtrante de seção circular numa filtração convencional a vácuo (a pressão constante).
(Dados:
tempo de filtração = !$ \dfrac{\mu \alpha \text{cV}^2} {2\text{A}^2\text{P}} !$
onde
!$ \mu !$ = viscosidade do fluido
!$ \alpha !$ = resistência específica da torta
c = concentração da suspensão
v = volume de filtrado
P = pressão)
Ao se dobrar o raio do elemento filtrante, o tempo de filtração será
Provas

Considerando a pressão constante, e com base na interpretação das informações apresentadas no gráfico acima, analise as afirmações a seguir.
I - A Energia de Gibbs se altera mais sensivelmente na fase gasosa do que na fase líquida porque a entropia de uma substância é maior na fase gasosa do que na fase líquida.
II - A Energia de Gibbs se altera mais sensivelmente na fase sólida do que na fase líquida porque a entropia de uma substância é maior na fase líquida do que na fase sólida.
III - A Energia de Gibbs nas fases sólida, líquida e gasosa não depende da entropia.
Está(ão) correta(s) APENAS a(s) afirmação(ões)
Provas
Dentre os gráficos de I a V mostrados a seguir, os que correspondem à titulação de 100 mL de uma solução 0,1 M de NaCl e à titulação de 100 mL de uma solução 0,1 M de KI são, respectivamente, os gráficos

(Dados: Ksol (AgCl) = 1,2 !$ \times !$ 10–10 e Ksol (AgI) = 1,7 !$ \times !$ 10–16)
Provas
Ao ser titulado por uma base, um ácido polifosfórico apresentou pontos de equivalência em 30,4 cm3 e 45,6 cm3. O número de átomos de fósforo e a quantidade de hidrogênios ácidos dessa molécula correspondem, respectivamente, a
Provas
Considere os gráficos de derivada primeira e derivada segunda correspondentes à titulação potenciométrica de uma solução de ácido acético por solução de NaOH 0,1 M mostrados a seguir.

Com base na análise dos gráficos, o ponto de equivalência dessa titulação ocorre com a adição de
Provas
Os dados da tabela a seguir foram usados na construção de uma curva de calibração utilizada na dosagem da concentração de um metal presente numa água oriunda de um despejo industrial, através da técnica de ultravioleta-visível.
(Dados: A = k.b.C, onde k é uma constante característica do complexo metálico, b é a distância do percurso ótico e C é a concentração composto orgânico.)
|
!$ \mu !$g/mL |
Absorvância |
|
0 |
0,05 |
| 5 | 0,06 |
| 10 | 0,07 |
| 15 | 0,08 |
| 20 | 0,092 |
| 25 | 0,107 |
| 30 | 0,120 |
| 40 | 0,145 |
| 50 | 0,170 |
| 60 | 0,190 |
| 80 | 0,240 |
A análise de uma alíquota desse rejeito industrial apresentou um valor de absorvância (já corrigido em relação ao branco) igual a 0,150. A concentração do composto orgânico presente no rejeito industrial, em !$ \mu !$g/mL, é
Provas
Na análise por cromatografia gasosa de uma mistura de gases oriunda de uma refinaria de petróleo, foram separadas as substâncias indicadas no cromatograma abaixo.

http://www.chem.agilent.com/temp/rad4EE1D/00000618.PDF acessado em 12 maio 2008.
O gás de arraste e o detector capazes de viabilizar a detecção de todos os compostos indicados no cromatograma são, respectivamente,
Provas
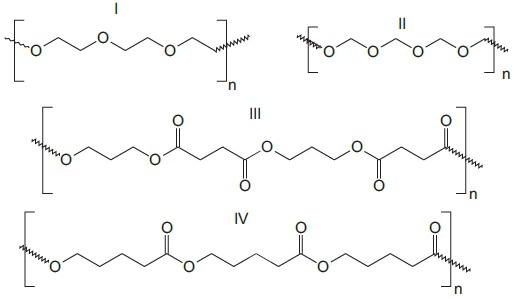
O aumento na profundidade dos poços de petróleo marinhos exige que seja freqüente a otimização das formulações de fluidos de perfuração. Polímeros oxigenados como os poliglicóis e poliéteres são amplamente utilizados na formulação de fluidos de perfuração. Considere os polímeros oxigenados mostrados a seguir.

Os monômeros usados na produção dos polímeros I a IV mostrados acima, respectivamente, são:
| Polímero |
|||
| I | II | III | IV |
Provas
Considere as transformações envolvidas na síntese do 3-metil-2-buteno-1-ol utilizando a acetona como substrato inicial.

Os reagentes capazes de viabilizar as transformações requeridas são:
| Reagentes |
|||
| I | II | III | IV |
Provas
Considere a reação a seguir.

Os possíveis produtos e o mecanismo de reação envolvido na formação de cada produto são:
| Produto I / Mecanismo |
Produto II / Mecanismo |
Produto III / Mecanismo |
Provas
Caderno Container