Foram encontradas 1.700 questões.
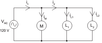
Na Figura a seguir, está ilustrado um circuito onde uma fonte de tensão alternada senoidal VAC, com valor eficaz de 120 V, alimenta três cargas: um motor elétrico M com potência nominal de 600 W e duas lâmpadas incandescentes L1 e L2, com potências nominais de 60 W e 90 W, respectivamente.

Um técnico em eletricidade precisa medir as cinco correntes elétricas indicadas na Figura. Para essa tarefa, ele dispõe de um multímetro com escalas de corrente eficaz de 200 mA, 2,0 A e 20 A.
Desse modo, a menor escala do multímetro que pode ser usada para medir a corrente
Provas
Provas
Um motor de corrente contínua shunt, alimentado por uma fonte de tensão constante e operando em suas condições nominais, subitamente perde seu circuito de campo.
Essa falha durante a operação provocará a(o)
Provas
A equação diferencial que relaciona VI (t) e Vo (t) é:
Provas
Conectando-se uma carga resistiva de 2 kΩ entre os terminais a e b, qual é o valor, em mW, da potência dissipada nessa carga?
Provas
A Figura abaixo ilustra um circuito alimentado por uma fonte de corrente de 2 A, conectado a uma carga de 80 Ω.

Para R=10 Ω, o valor da fonte de tensão do equivalente de Thévenin, em volts, para o circuito inserido no retângulo pontilhado, entre os terminais da carga, é
Provas
Uma das finalidades dos sistemas de aterramento é proteger os usuários contra choques elétricos em decorrência do contato com partes energizadas de equipamentos elétricos. Os sistemas de aterramento são classificados de acordo com a forma como os condutores neutro e de proteção estão ligados, entre si, e com as massas dos equipamentos elétricos.
Como é classificado o esquema de aterramento onde, em parte desse, as funções de neutro e de proteção são combinadas em um único condutor?
Provas
- Circuitos ElétricosCircuitos CACircuitos Trifásicos
- Sistemas Elétricos de PotênciaAnálise de SEPAnálise de Curto-circuitos
Um curto-circuito fase-terra ocorre em um sistema trifásico. Sabe-se que a corrente de sequência positiva no ponto da falta é igual a 5 pu. As bases adotadas no setor da falta são 4 MVA e 100 kV.
A corrente de curto-circuito dessa falta, em ampères, é igual a
Provas

Provas
Um profissional de eletricidade deve selecionar um dispositivo de proteção para um motor de indução trifásico, no caso, um fusível de ação retardada. O dispositivo deve ser dimensionado de forma a suportar a corrente de partida [ Ip ] e permitir que o motor opere com uma sobrecorrente de até 125% da corrente nominal do motor, [ In ], em regime permanente. O profissional comparou qualitativamente as curvas de corrente em função do tempo, I = f(t), de cinco fusíveis com a curva de corrente em função do tempo do motor, desde a partida até o regime permanente.
As curvas analisadas pelo profissional são apresentadas a seguir.

De acordo com as informações apresentadas, o fusível a ser selecionado pelo profissional, baseado na comparação das curvas I = f(t), será o fusível
Provas
Caderno Container