Foram encontradas 378 questões.
Texto para o item.
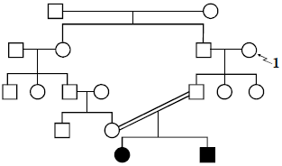
Um dos pilares da biotecnologia é a genética. Apesar de as primeiras aplicações da genética terem ocorrido há milênios, como resultado de trabalhos de agricultores anônimos, a teoria da hereditariedade e a área do conhecimento denominada genética só foram postuladas após o redescobrimento do trabalho pioneiro de Gregor Mendel, desenvolvido no século XVIII. Em um de seus experimentos históricos, Mendel trabalhou com ervilhas que tinham sementes com cores diferentes, verde ou amarela. As conclusões de Mendel, associadas ao conhecimento atual, permitem afirmar que existem duas versões do gene responsável pela cor da semente de ervilha: versão 1 e versão 2. No caso da ervilha, que é diplóide, cada planta genitora contribui com uma versão desse gene para cada descendente. A partir de então, muitos mistérios da hereditariedade passaram a fazer sentido, como a transmissão de geração a geração de certas doenças, entre elas a osteogênese imperfeita, doença autossômica recessiva que causa fragilidade óssea, também conhecida como ossos de cristal. A figura abaixo ilustra o heredograma de uma família afetada por essa doença, em que os indivíduos que a possuem estão representados por símbolos com preenchimento preto. Nessa família, o alelo relacionado com essa doença não é uma mutação nova.

Considerando as informações do texto acima, julgue o item a seguir.
A consanguinidade entre os pais diminui a probabilidade de homozigose para características recessivas.
Provas
Texto para o item.
Um dos pilares da biotecnologia é a genética. Apesar de as primeiras aplicações da genética terem ocorrido há milênios, como resultado de trabalhos de agricultores anônimos, a teoria da hereditariedade e a área do conhecimento denominada genética só foram postuladas após o redescobrimento do trabalho pioneiro de Gregor Mendel, desenvolvido no século XVIII. Em um de seus experimentos históricos, Mendel trabalhou com ervilhas que tinham sementes com cores diferentes, verde ou amarela. As conclusões de Mendel, associadas ao conhecimento atual, permitem afirmar que existem duas versões do gene responsável pela cor da semente de ervilha: versão 1 e versão 2. No caso da ervilha, que é diplóide, cada planta genitora contribui com uma versão desse gene para cada descendente. A partir de então, muitos mistérios da hereditariedade passaram a fazer sentido, como a transmissão de geração a geração de certas doenças, entre elas a osteogênese imperfeita, doença autossômica recessiva que causa fragilidade óssea, também conhecida como ossos de cristal. A figura abaixo ilustra o heredograma de uma família afetada por essa doença, em que os indivíduos que a possuem estão representados por símbolos com preenchimento preto. Nessa família, o alelo relacionado com essa doença não é uma mutação nova.

Considerando as informações do texto acima, julgue o item a seguir.
Considerando-se que, para produzir sementes verdes, seja necessário que cada ervilha produzida possua duas cópias da versão 2 do gene para cor de semente, então a versão 1, que está relacionada à produção de ervilhas amarelas, é dominante sobre a versão 2.
Provas
Atualmente, biotecnologia pode ser entendida como sendo o desenvolvimento, com base nas ciências biológicas, de produtos e processos que podem ser utilizados e(ou) transferidos para aplicação e produção em grande escala. O emprego dessa tecnologia em processos de produção data de, pelo menos, 1800 a.C., época em que, por meio de uma reação de fermentação que produz etanol e CO2 a partir do açúcar (C6H12O6), obtinha-se vinhos e pães, com o uso de leveduras. Essa reação permite que fungos formem 2 mol de ATP por 180,1548 g de açúcar consumido. No entanto, se os fungos estiverem em um ambiente com grande quantidade de oxigênio, o consumo de C6H12O6 produzirá ATP, segundo a reação a seguir.
\( C_6 H_{12} O_6 + 6O_2 + 36 ADP + PO_4^{3-} \rightarrow 6CO_2 + 6H_2 O + 36 ATP \)
A partir das informações acima, julgue o item a seguir.
A variação de entalpia da produção de uma molécula de ATP a partir de uma molécula de ADP está corretamente representada no esquema mostrado a seguir.

Provas
Atualmente, biotecnologia pode ser entendida como sendo o desenvolvimento, com base nas ciências biológicas, de produtos e processos que podem ser utilizados e(ou) transferidos para aplicação e produção em grande escala. O emprego dessa tecnologia em processos de produção data de, pelo menos, 1800 a.C., época em que, por meio de uma reação de fermentação que produz etanol e CO2 a partir do açúcar (C6H12O6), obtinha-se vinhos e pães, com o uso de leveduras. Essa reação permite que fungos formem 2 mol de ATP por 180,1548 g de açúcar consumido. No entanto, se os fungos estiverem em um ambiente com grande quantidade de oxigênio, o consumo de C6H12O6 produzirá ATP, segundo a reação a seguir.
\( C_6 H_{12} O_6 + 6O_2 + 36 ADP + PO_4^{3-} \rightarrow 6CO_2 + 6H_2 O + 36 ATP \)
A partir das informações acima, julgue o item a seguir.
A entalpia da degradação de um mol de glicose pela via aeróbica é igual a 36 vezes a entalpia da degradação de um mol de glicose pela via anaeróbica.
Provas
Atualmente, biotecnologia pode ser entendida como sendo o desenvolvimento, com base nas ciências biológicas, de produtos e processos que podem ser utilizados e(ou) transferidos para aplicação e produção em grande escala. O emprego dessa tecnologia em processos de produção data de, pelo menos, 1800 a.C., época em que, por meio de uma reação de fermentação que produz etanol e CO2 a partir do açúcar (C6H12O6), obtinha-se vinhos e pães, com o uso de leveduras. Essa reação permite que fungos formem 2 mol de ATP por 180,1548 g de açúcar consumido. No entanto, se os fungos estiverem em um ambiente com grande quantidade de oxigênio, o consumo de C6H12O6 produzirá ATP, segundo a reação a seguir.
\( C_6 H_{12} O_6 + 6O_2 + 36 ADP + PO_4^{3-} \rightarrow 6CO_2 + 6H_2 O + 36 ATP \)
A partir das informações acima, julgue o item a seguir.
Sabendo-se que o principal agente da fermentação alcoólica é denominado Saccharomyces cerevisae, é correto concluir que esse agente é uma levedura ascomicética.
Provas
Atualmente, biotecnologia pode ser entendida como sendo o desenvolvimento, com base nas ciências biológicas, de produtos e processos que podem ser utilizados e(ou) transferidos para aplicação e produção em grande escala. O emprego dessa tecnologia em processos de produção data de, pelo menos, 1800 a.C., época em que, por meio de uma reação de fermentação que produz etanol e CO2 a partir do açúcar (C6H12O6), obtinha-se vinhos e pães, com o uso de leveduras. Essa reação permite que fungos formem 2 mol de ATP por 180,1548 g de açúcar consumido. No entanto, se os fungos estiverem em um ambiente com grande quantidade de oxigênio, o consumo de C6H12O6 produzirá ATP, segundo a reação a seguir.
\( C_6 H_{12} O_6 + 6O_2 + 36 ADP + PO_4^{3-} \rightarrow 6CO_2 + 6H_2 O + 36 ATP \)
A partir das informações acima, julgue o item a seguir.
Em condições normais, após uma pessoa ingerir uma taça de vinho, haverá absorção de etanol no estômago e sua metabolização no fígado. Este órgão produz a bile, que é constituída por mistura de enzimas e proteínas, de uréia e sais e que atua como detergente, auxiliando na digestão de lipídeos.
Provas
Atualmente, biotecnologia pode ser entendida como sendo o desenvolvimento, com base nas ciências biológicas, de produtos e processos que podem ser utilizados e(ou) transferidos para aplicação e produção em grande escala. O emprego dessa tecnologia em processos de produção data de, pelo menos, 1800 a.C., época em que, por meio de uma reação de fermentação que produz etanol e CO2 a partir do açúcar (C6H12O6), obtinha-se vinhos e pães, com o uso de leveduras. Essa reação permite que fungos formem 2 mol de ATP por 180,1548 g de açúcar consumido. No entanto, se os fungos estiverem em um ambiente com grande quantidade de oxigênio, o consumo de C6H12O6 produzirá ATP, segundo a reação a seguir.
\( C_6 H_{12} O_6 + 6O_2 + 36 ADP + PO_4^{3-} \rightarrow 6CO_2 + 6H_2 O + 36 ATP \)
A partir das informações acima, julgue o item a seguir.
Os fungos responsáveis pela fermentação citada acima pertencem ao reino Protista.
Provas
Atualmente, biotecnologia pode ser entendida como sendo o desenvolvimento, com base nas ciências biológicas, de produtos e processos que podem ser utilizados e(ou) transferidos para aplicação e produção em grande escala. O emprego dessa tecnologia em processos de produção data de, pelo menos, 1800 a.C., época em que, por meio de uma reação de fermentação que produz etanol e CO2 a partir do açúcar (C6H12O6), obtinha-se vinhos e pães, com o uso de leveduras. Essa reação permite que fungos formem 2 mol de ATP por 180,1548 g de açúcar consumido. No entanto, se os fungos estiverem em um ambiente com grande quantidade de oxigênio, o consumo de C6H12O6 produzirá ATP, segundo a reação a seguir.
\( C_6 H_{12} O_6 + 6O_2 + 36 ADP + PO_4^{3-} \rightarrow 6CO_2 + 6H_2 O + 36 ATP \)
A partir das informações acima, julgue o item a seguir.
A fermentação é uma reação de oxirredução na qual o C6H12O6 é tanto o agente oxidante quanto o agente redutor.
Provas
Atualmente, biotecnologia pode ser entendida como sendo o desenvolvimento, com base nas ciências biológicas, de produtos e processos que podem ser utilizados e(ou) transferidos para aplicação e produção em grande escala. O emprego dessa tecnologia em processos de produção data de, pelo menos, 1800 a.C., época em que, por meio de uma reação de fermentação que produz etanol e CO2 a partir do açúcar (C6H12O6), obtinha-se vinhos e pães, com o uso de leveduras. Essa reação permite que fungos formem 2 mol de ATP por 180,1548 g de açúcar consumido. No entanto, se os fungos estiverem em um ambiente com grande quantidade de oxigênio, o consumo de C6H12O6 produzirá ATP, segundo a reação a seguir.
\( C_6 H_{12} O_6 + 6O_2 + 36 ADP + PO_4^{3-} \rightarrow 6CO_2 + 6H_2 O + 36 ATP \)
A partir das informações acima, julgue o item a seguir.
O ponto de ebulição é uma propriedade específica que permite identificar e diferenciar misturas, tais como vinhos.
Provas
Atualmente, biotecnologia pode ser entendida como sendo o desenvolvimento, com base nas ciências biológicas, de produtos e processos que podem ser utilizados e(ou) transferidos para aplicação e produção em grande escala. O emprego dessa tecnologia em processos de produção data de, pelo menos, 1800 a.C., época em que, por meio de uma reação de fermentação que produz etanol e CO2 a partir do açúcar (C6H12O6), obtinha-se vinhos e pães, com o uso de leveduras. Essa reação permite que fungos formem 2 mol de ATP por 180,1548 g de açúcar consumido. No entanto, se os fungos estiverem em um ambiente com grande quantidade de oxigênio, o consumo de C6H12O6 produzirá ATP, segundo a reação a seguir.
\( C_6 H_{12} O_6 + 6O_2 + 36 ADP + PO_4^{3-} \rightarrow 6CO_2 + 6H_2 O + 36 ATP \)
A partir das informações acima, julgue o item a seguir.
Durante o metabolismo dos açúcares, ocorre a formação de frutose 6-fosfato a partir do seu isômero de função, a glicose 6-fosfato.
Provas
Caderno Container