Foram encontradas 60 questões.
Informe se é verdadeiro (V) ou falso (F) o que se afirma abaixo sobre o circuito digital decodificador 1 de 16, ativo em nível alto, e com terminal de HABILITAÇÃO (ENABLE).
( ) Possui barramento de saída com tamanho de 16 bits.
( ) Possui barramento de entrada com tamanho de 16 bits.
( ) Dependendo do dado binário de entrada pode apresentar mais de um bit ativo em sua saída.
( ) Pode realizar a função de demultiplexador com os dados inseridos no terminal de habilitação.
Marque a alternativa com a sequência correta.
Provas
Os sistemas de controle em malha fechada possui três formas básicas de atuação que podem e são empregadas de forma combinada em função das característcas do controle desejado em cada caso em particular. Associe as colunas relacionando a forma de atuação básica de controle com suas respetivas características.
FORMA DE ATUAÇÃO BÁSICA DE CONTROLE
(P) Proporcional
(I) Integrativo
(D) Derivativo
CARACTERÍSTICAS
( ) Tem a capacidade de atuar no controle enquanto houver erro.
( ) Produz correção significativa antes de o valor do erro atuante tornar-se grande.
( ) Atua na proporção da diferença entre o ponto de ajuste e a variável de processo.
( ) Leva o erro de estado estacionário para zero após tempo suficientemente longo.
( ) Produz um erro de estado estacionário de alguma intensidade.
( ) Responde em função do comportamento histórico recém passado do erro.
( ) Antecipa o erro atuante colaborando para aumentar a estabilidade do sistema.
A sequência correta dessa associação é:
Provas
O Sistema Internacional de Unidades (SI) reconhece as chamadas unidades derivadas como aquelas que são definidas a partir de relações específicas entre as unidades básicas. Engloba também as unidades utilizadas em medidas elétricas, dentre as quais estão: a unidade de potência elétrica (watt); a unidade de força eletromotriz (volt); a unidade de corrente elétrica (ampére); a unidade de resistência elétrica (ohm). Sobre o SI, é correto afirmar que
Provas
Embora as caracteristicas de um dado sistema de controle estejam intimamente relacionadas às particularidades de sua aplicação específica, podemos enumerar algumas considerações gerais que os projetistas devem se atentar na maior parte das aplicações de controle moderno. Posto isso, o projetista de sistemas de controle deve procurar
Provas
A figura ilustra as funções dos diferentes terminais de contato de um circuito integrado de memória semicondutora e a tabela de descrição das funções de cada terminal.

Fonte: Arquivo da Banca Elaboradora.
Marque a alternativa que completa corretamente as lacunas da assertiva a seguir.
O circuito integrado de memória apresentado possui uma matriz com diferentes posições de memória, tamanho da palavra de dados de bits, totalizando uma capacidade de armazenamento de bits e é uma memória do tipo .
Provas
Provas
Provas
Quando a entrada lógica de um Circuito Integrado (CI) digital não é conectada a nenhum outro ponto do circuito, dizemos que essa entrada é uma entrada flutuante. A entrada flutuante produz diferentes consequências para as diferentes famílias de circuitos digitais.
Contudo, pode-se afirmar que uma entrada flutuante em uma porta lógica da família
Provas
N a realização de medidas elétricas nos sistemas de potência, é muito comum o emprego de dois tipos especiais de transformadores para a realização dessas medidas. Um deles é o Transfomador de Potencial (TP) e o outro é o Transformador de Corrente (TC). Embora sejam na prática transformadores e se fazem uso dos mesmos princípios empregados nos transformadores largamente empregados na energia elétrica, eles são diferenciados para otimizar a sua finalidade de medição. Informe se é verdadeiro (V) ou falso (F) o que se afirma abaixo sobre TPs e TCs.
( ) Os TPs têm a característica de manter eletricamente conectados o primário de alta tensão e o secundário de baixa tensão, colaborando com a segurança nas medições.
( ) Os TCs possuem enrolamentos primário e secundários com fraco acoplamento magnético, enquanto os TPs possuem enrolamentos com forte acoplamento magnético.
( ) Tanto TCs quanto TPs tem a finalidade de reduzir o módulo da grandeza elétrica a ser medida, sem alterar a forma de onda, a natureza elétrica e tampouco a frequência do sinal.
( ) Os TCs têm de permanecer com o secundário sempre em circuito fechado de baixa impedância (curto-circuito), característica essa normal dos amperímetros de medição, sob pena de se desenvolverem tensões elevadas nos enrolamentos de secundário.
Marque a alternativa com a sequência correta.
Provas
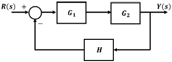
Veja a representação em blocos de um sistema de controle em malha fechada.

Fonte: Arquivo da Banca Elaboradora.
Qual alternativa apresenta corretamente a função transferência !$ G_{MF} = { \Large { Y(s) \over R(s)}} !$
Provas
Caderno Container