Foram encontradas 625 questões.
Um termômetro requer 1 minuto para indicar 95% do valor de resposta a um degrau unitário. Admitindo que o termômetro seja um sistema de primeira ordem e que esteja imerso num líquido cuja temperatura cresça linearmente com o tempo a uma taxa de 10 ºC/min, seu erro de leitura, em ºC, será de:
Provas
O manômetro de tubo inclinado mostrado na figura abaixo está sendo utilizado para medir a pressão de um determinado equipamento.

Sabendo que o líquido utilizado é o mercúrio, cujo peso específico é !$ y=13,6\,\,gf/cm^3 !$ e que as medidas na figura acima estão em mm, pode-se dizer que a pressão medida, em Kgf/cm2, é de:
Provas
A figura a seguir mostra um sistema de controle com realimentação para uma articulação de um braço de robô. Neste diagrama, !$ θ_C !$ é o ângulo desejado de braço do robô, !$ θ_L !$ é o ângulo real braço.

Sabendo que: Lm = 2, Rm = 11, KT = 18 , Km = 0,5, KT = 18, J = 2, B =1 e !$ n !$ = 30, pode-se a afirmar que a função de transferência do sistema em malha fechada !$ \dfrac{θ_L(s)}{θ_C(s)} !$ é dada por:
Provas
Para descrever a translação e a rotação entre dois elos adjacentes de um robô, Denavit e Hatenberg prepuseram um método matricial para o estabelecimento sistemático de um sistema de coordenadas fixo para cada elo de uma cadeia cinemática articulada. A representação Denavit-Hatenberg de um elo rígido dependerá dos parâmetros !$ θ_i !$ , !$ d_i !$, !$ a_i !$ e !$ a_i !$ , associados ao elo, que descrevem completamente o comportamento cinemático de uma junta prismática ou revoluta. Com relação a esses parâmetros, pode-se afirmar que:
Provas
Observe o sistema massa-mola-roldana mostrado na figura a seguir.

O momento de inércia da roldana em relação ao seu eixo de rotação é J e seu raio é R. Considere o sistema inicialmente em equilíbrio. A força gravitacional atuando sobre a massa m causa uma deformação estática na mola tal que k!$ \delta= !$ mg . Supondo que o deslocamento x da massa m é medido a partir da posição de equilíbrio, pode se afirmar que a freqüência natural do sistema é dada por:
Provas
Observe o sistema de nível de líquido representado na figura abaixo:

Considere que a vazão QS (m3/s) na saída está relacionada à altura H (m) por !$ Qs !$ = 0,01!$ \sqrt{H} !$ e que quando a vazão !$ Q_e=0,020 !$ m3 / s a altura H permanece constante. No instante !$ t=0 !$ a válvula de entrada é fechada. Sabendo que a capacitância do tanque é de 1 m2, o tempo necessário para esvaziar o tanque a um quarto da altura original, em segundos, é de:
Provas
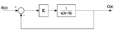
Observe o sistema representado pelo diagrama de blocos mostrado na figura abaixo.

Considere K=288, B=28,8 e J=2. O erro estacionário a uma solicitação em rampa unitária (ess) é igual a:
Provas
Observe o sistema de segunda ordem descrito pela função de transferência
!$ H(s)=\dfrac{4}{s^2+3s+4}. !$
Analisando-se essa função de transferência, pode-se afirmar que este sistema é:
Provas
Observe o sistema mostrado na figura abaixo.

Em relação a sua estabilidade, pode se afirmar que o sistema é estável para todos os valores de K, quando ocorrem entre:
Provas
Observe o modelo matemático abaixo que descreve o comportamento dinâmico de um determinado sistema :
!$ \begin{Bmatrix} \dot{x}_1\\\dot{x}_2 \end{Bmatrix} !$ = !$ \begin{bmatrix} -2&1\\1&-1 \end{bmatrix} !$ !$ \begin{Bmatrix} x_1\\x_2 \end{Bmatrix} !$ + !$ \begin{bmatrix} 2\\1 \end{bmatrix}u !$ e !$ y=\begin{bmatrix} 0&1 \end{bmatrix}\begin{Bmatrix} x_1\\x_2 \end{Bmatrix} !$.
A partir desse modelo, pode-se afirmar que a função de transferência do sistema é dada por:
Provas
Caderno Container