Foram encontradas 40 questões.
Marta Durante, em seu livro Alfabetização de adultos: leitura e produção de textos, atenta para a importância de conhecimentos prévios na atribuição de sentido às situações cotidianas. Nesse processo, cada indivíduo se vale daquilo que já conhece por intermédio da transmissão social da cultura.
De acordo com a discussão levantada pela autora, para que a aprendizagem seja significativa, os educandos devem
Provas
Para Jussara Hoffman em seu livro Avaliação mediadora: uma prática em construção da pré-escola à universidade, o ponto de partida para uma ação avaliativa mediadora é ultrapassar o significado da correção/retificação para o de
Provas
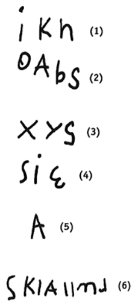
Gabriela, 6 anos, está em processo de alfabetização e, no momento, apresenta a seguinte forma de escrita:

(E. Ferreiro, Reflexões sobre a alfabetização, 2001)
(1) ga-to (gato)
(2) ma-ri-po-sa (borboleta)
(3) ca-ba-llo (cavalo)
(4) pez (peixe)
(5) mar (mar)
(6) el-ga-to-be-be-le-che (o gato bebe leite)
Gabriela usa letras de forma tradicional, mas sem seu valor sonoro convencional: cada letra vale por uma sílaba. Para Emília Ferreiro, em seu livro, Reflexões sobre a alfabetização, Gabriela está no período de escrita denominado
Provas
Sérgio é professor em uma escola regular de ensino fundamental e, no horário do lanche, surpreendeu um aluno de 10 anos se masturbando no banheiro da escola (o que nunca ocorreu antes). Sérgio, então, aguardou a criança sair do local e, com respeito, abordou-a e, sem que ninguém ouvisse e de forma apropriada, explicou que este ato é normal, porém, a escola não é o ambiente apropriado para tal comportamento.
Segundo os Parâmetros Curriculares Nacionais (vol. 10) a atitude deste professor foi
Provas
Para Rosita Edler Carvalho, em seu livro Educação inclusiva com os pingos nos “is”, muitas são as providências a serem tomadas pela escola em relação aos estudantes com dificuldades acentuadas de aprendizagem, como também, para aqueles que apresentam limitações – no processo de desenvolvimento – as quais dificultam o acompanhamento das atividades curriculares não vinculadas a uma causa orgânica específica.
Uma dessas providências é, dentre outras,
Provas
Conforme os Parâmetros Curriculares Nacionais (vol. 10), quando o professor, aborda os diferentes sotaques característicos em nossa população, os alunos aprendem sobre
Provas
Paulo Freire, em seu livro Educação como prática da liberdade, observa que “O homem [...] não capta o dado da realidade, o fenômeno, a situação problemática pura. Na captação, juntamente com o problema, com o fenômeno, capta também seus nexos causais. Apreende a causalidade.” Nesse contexto, a profundidade da compreensão deriva da compreensão da causalidade autêntica, não apenas de um entendimento mínimo.
Essa compreensão mais profunda é expressão
Provas
Antônio é professor de uma turma de 3º ano do Ensino Fundamental e ensina aos alunos as formas cuidadosas de se lidar com o meio ambiente. Com base nos Parâmetros Curriculares Nacionais (vol. 9), Antônio definiu recuperação ambiental, como sendo
Provas
Segundo Marta Durante, em seu livro, Alfabetização de adultos: leitura e produção de textos, durante o processo de alfabetização, os adultos apresentam
Provas
Vanessa e Carlos estavam estudando para o concurso de professor de Ensino Fundamental (1º ao 5º ano) do município de Birigui. Nesse momento, Vanessa recordou três temas transversais: Ética, Pluralidade Cultural e Meio Ambiente. Carlos, consultando os Parâmetros Curriculares Nacionais (vol. 8), interveio, mencionando ainda como tema transversal
Provas
Caderno Container