Foram encontradas 1.426 questões.

Se f é derivável em todo o seu domínio, determine A + B + C.
Provas
Questão presente nas seguintes provas
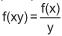
Considere uma função real definida sobre o conjunto dos reais, de modo que, quaisquer que sejam x e y não nulos do domínio, vale a relação
. Sabendo que f(200) = 12, quanto vale f(600)?
Provas
Questão presente nas seguintes provas
A Tabela I apresenta as quantidades médias de combustível, em litros, vendidas semanalmente em três postos de abastecimento de uma mesma rede. O preço praticado em um dos postos é o mesmo praticado pelos outros dois.
Esses preços, por litro, em duas semanas consecutivas, estão apresentados na Tabela II.
Tabela I
| Posto 1 | Posto 2 | Posto 3 | |
| Etanol | 20.200 | 22.000 | 21.000 |
| Gasolina | 32.000 | 33.600 | 35.000 |
| Diesel | 18.000 | 23.000 | 24.500 |
Tabela II
| Semana 1 | Semana 2 | |
| Etanol | R$ 2,48 | R$ 2,52 |
| Gasolina | R$ 2,69 | R$ 2,71 |
| Diesel | R$ 1,98 | R$ 2,02 |
Com os dados das Tabelas I e II são montadas as matrizes A e B a seguir.
!$ A= { \begin{bmatrix} 20.200\,\,22.000\,\,21.000\\32.000\,\,33.600\,\,35.000\\18.000\,\,23.000\,\,24.500 \end{bmatrix}} !$ !$ B= {\begin{bmatrix} 2,48\,\,2,52\\2,69\,\,2,71\\1,98\,\,2,02\end{bmatrix}} !$
Seja C 2x3 a matriz que apresenta os valores médios arrecadados em cada um dos três postos, por semana, com a venda de combustíveis.
Identificando-se A t e B t como as matrizes transpostas de A e de B, respectivamente, a matriz C é definida pela operação
Provas
Questão presente nas seguintes provas
A tabela abaixo apresenta dados sobre o PIB (Produto Interno Bruto), a renda e a poupança no Brasil, de 2001 a 2007.

Analisando-se os dados dessa tabela, conclui-se que, de 2005 para 2006, a renda per capita aumentou em, aproximadamente,

Analisando-se os dados dessa tabela, conclui-se que, de 2005 para 2006, a renda per capita aumentou em, aproximadamente,
Provas
Questão presente nas seguintes provas
Abaixo, temos a planta de um terreno retangular, de 810 m2 de área cercado por um muro.
Note que o terreno tem 36 m de comprimento, e que há um único portão de acesso com 2,5 m de largura.

Qual é, em metros, o comprimento do muro que cerca esse terreno?
Note que o terreno tem 36 m de comprimento, e que há um único portão de acesso com 2,5 m de largura.

Qual é, em metros, o comprimento do muro que cerca esse terreno?
Provas
Questão presente nas seguintes provas
A tabela a seguir apresenta algumas estatísticas sobre o número de solicitações à Coordenação de Inspeção, Aceitação e Veto de Navios (COINV) da Transpetro, em 2009, para uso dos terminais aquaviários da empresa por navios de terceiros, por tipo de carga nos últimos 5 anos.

Os sinais de x, y, z e w são, respectivamente,

Os sinais de x, y, z e w são, respectivamente,
Provas
Questão presente nas seguintes provas
A CARTA AUTOMÁTICA
Mais de cem anos depois do surgimento do telefone, o começo dos anos 90 nos oferece um meio de comunicação que, para muitos, resgata um pouco do romantismo da carta. A Internet não usa papel colorido e perfumado, e sequer precisa de selos, mas, para muitos, fez voltar à moda o charme da comunicação por escrito. E, se o provedor não estiver com problemas, faz isso com o imediatismo do telefone. A rede também foi uma invenção que levou algum tempo para cair no gosto do público. Criada em 1993 para uso doméstico, há muito ela já era usada por cientistas universitários que queriam trocar informações. Mas, só após a difusão do computador doméstico, realizada efetivamente há uns quatro ou cinco anos, que o público pôde descobrir sua utilidade. Em The victorian internet, Tom Standage analisa o impacto da criação do telégrafo (surgido em 1837).
Uma nova tecnologia de comunicação permitia às pessoas se comunicarem quase que instantaneamente, estando à longa distância (...) Isto revolucionou o mundo dos negócios.(...) Romances floresceram sob impacto do telégrafo. Códigos secretos foram inventados por alguns usuários e desvendados por outros. (...) O governo e as leis tentaram controlar o novo meio e falharam. (...) Enquanto isto, pelos cabos, uma subcultura tecnológica com seus usos e vocabulário próprio se estabelecia.
Igual impacto teve a Internet. Antes do telégrafo, batizado de “a autoestrada do pensamento”, o ritmo de vida era superlento. As pessoas saíam para viajar de navio e não se ouviam notícias delas durante anos. Os países que quisessem saber se haviam ou não ganho determinada batalha esperavam meses pelos mensageiros, enviados no lombo dos cavalos. Neste mundo em que reinava a Rainha Vitória (1819-1901), o telégrafo provocou a maior revolução das comunicações desde o aparecimento da imprensa. A Internet não chegou a tanto. Mas nada encurta tanto distâncias como entrar num chat com alguém que esteja na Noruega, por exemplo. Se o telégrafo era “a autoestrada do pensamento”, talvez a rede possa ser a “superautoestrada”. Dos pensamentos e das abobrinhas. As tecnologias de conversação realmente mudam as conversas. Apesar de ser de fundamental utilidade para o trabalho e a pesquisa, o correio feito pela rede permite um tipo de conversa diferente daquela que ocorre por telefone. Talvez um dia, no futuro, pesquisadores analisem as razões pelas quais a rede, rápida e imediata e sem o vivo colorido identificador da voz, se presta a bate-papos (via e-mails, chats, comunicadores instantâneos) até mais informais do que os que fazemos por telefone. CAMARGO, Maria Sílvia. 24 dias por hora. Rio de Janeiro: Rocco, 2000. p. 135-137. Adaptado.
A mudança na pontuação mantém o sentido da frase original, preservando a norma-padrão da língua, em:Mais de cem anos depois do surgimento do telefone, o começo dos anos 90 nos oferece um meio de comunicação que, para muitos, resgata um pouco do romantismo da carta. A Internet não usa papel colorido e perfumado, e sequer precisa de selos, mas, para muitos, fez voltar à moda o charme da comunicação por escrito. E, se o provedor não estiver com problemas, faz isso com o imediatismo do telefone. A rede também foi uma invenção que levou algum tempo para cair no gosto do público. Criada em 1993 para uso doméstico, há muito ela já era usada por cientistas universitários que queriam trocar informações. Mas, só após a difusão do computador doméstico, realizada efetivamente há uns quatro ou cinco anos, que o público pôde descobrir sua utilidade. Em The victorian internet, Tom Standage analisa o impacto da criação do telégrafo (surgido em 1837).
Uma nova tecnologia de comunicação permitia às pessoas se comunicarem quase que instantaneamente, estando à longa distância (...) Isto revolucionou o mundo dos negócios.(...) Romances floresceram sob impacto do telégrafo. Códigos secretos foram inventados por alguns usuários e desvendados por outros. (...) O governo e as leis tentaram controlar o novo meio e falharam. (...) Enquanto isto, pelos cabos, uma subcultura tecnológica com seus usos e vocabulário próprio se estabelecia.
Igual impacto teve a Internet. Antes do telégrafo, batizado de “a autoestrada do pensamento”, o ritmo de vida era superlento. As pessoas saíam para viajar de navio e não se ouviam notícias delas durante anos. Os países que quisessem saber se haviam ou não ganho determinada batalha esperavam meses pelos mensageiros, enviados no lombo dos cavalos. Neste mundo em que reinava a Rainha Vitória (1819-1901), o telégrafo provocou a maior revolução das comunicações desde o aparecimento da imprensa. A Internet não chegou a tanto. Mas nada encurta tanto distâncias como entrar num chat com alguém que esteja na Noruega, por exemplo. Se o telégrafo era “a autoestrada do pensamento”, talvez a rede possa ser a “superautoestrada”. Dos pensamentos e das abobrinhas. As tecnologias de conversação realmente mudam as conversas. Apesar de ser de fundamental utilidade para o trabalho e a pesquisa, o correio feito pela rede permite um tipo de conversa diferente daquela que ocorre por telefone. Talvez um dia, no futuro, pesquisadores analisem as razões pelas quais a rede, rápida e imediata e sem o vivo colorido identificador da voz, se presta a bate-papos (via e-mails, chats, comunicadores instantâneos) até mais informais do que os que fazemos por telefone. CAMARGO, Maria Sílvia. 24 dias por hora. Rio de Janeiro: Rocco, 2000. p. 135-137. Adaptado.
Provas
Questão presente nas seguintes provas
A CARTA AUTOMÁTICA
Mais de cem anos depois do surgimento do telefone, o começo dos anos 90 nos oferece um meio de comunicação que, para muitos, resgata um pouco do romantismo da carta. A Internet não usa papel colorido e perfumado, e sequer precisa de selos, mas, para muitos, fez voltar à moda o charme da comunicação por escrito. E, se o provedor não estiver com problemas, faz isso com o imediatismo do telefone. A rede também foi uma invenção que levou algum tempo para cair no gosto do público. Criada em 1993 para uso doméstico, há muito ela já era usada por cientistas universitários que queriam trocar informações. Mas, só após a difusão do computador doméstico, realizada efetivamente há uns quatro ou cinco anos, que o público pôde descobrir sua utilidade. Em The victorian internet, Tom Standage analisa o impacto da criação do telégrafo (surgido em 1837).
Uma nova tecnologia de comunicação permitia às pessoas se comunicarem quase que instantaneamente, estando à longa distância (...) Isto revolucionou o mundo dos negócios.(...) Romances floresceram sob impacto do telégrafo. Códigos secretos foram inventados por alguns usuários e desvendados por outros. (...) O governo e as leis tentaram controlar o novo meio e falharam. (...) Enquanto isto, pelos cabos, uma subcultura tecnológica com seus usos e vocabulário próprio se estabelecia.
Igual impacto teve a Internet. Antes do telégrafo, batizado de “a autoestrada do pensamento”, o ritmo de vida era superlento. As pessoas saíam para viajar de navio e não se ouviam notícias delas durante anos. Os países que quisessem saber se haviam ou não ganho determinada batalha esperavam meses pelos mensageiros, enviados no lombo dos cavalos. Neste mundo em que reinava a Rainha Vitória (1819-1901), o telégrafo provocou a maior revolução das comunicações desde o aparecimento da imprensa. A Internet não chegou a tanto. Mas nada encurta tanto distâncias como entrar num chat com alguém que esteja na Noruega, por exemplo. Se o telégrafo era “a autoestrada do pensamento”, talvez a rede possa ser a “superautoestrada”. Dos pensamentos e das abobrinhas. As tecnologias de conversação realmente mudam as conversas. Apesar de ser de fundamental utilidade para o trabalho e a pesquisa, o correio feito pela rede permite um tipo de conversa diferente daquela que ocorre por telefone. Talvez um dia, no futuro, pesquisadores analisem as razões pelas quais a rede, rápida e imediata e sem o vivo colorido identificador da voz, se presta a bate-papos (via e-mails, chats, comunicadores instantâneos) até mais informais do que os que fazemos por telefone. CAMARGO, Maria Sílvia. 24 dias por hora. Rio de Janeiro: Rocco, 2000. p. 135-137. Adaptado.
O sinal indicativo de crase é necessário em:Mais de cem anos depois do surgimento do telefone, o começo dos anos 90 nos oferece um meio de comunicação que, para muitos, resgata um pouco do romantismo da carta. A Internet não usa papel colorido e perfumado, e sequer precisa de selos, mas, para muitos, fez voltar à moda o charme da comunicação por escrito. E, se o provedor não estiver com problemas, faz isso com o imediatismo do telefone. A rede também foi uma invenção que levou algum tempo para cair no gosto do público. Criada em 1993 para uso doméstico, há muito ela já era usada por cientistas universitários que queriam trocar informações. Mas, só após a difusão do computador doméstico, realizada efetivamente há uns quatro ou cinco anos, que o público pôde descobrir sua utilidade. Em The victorian internet, Tom Standage analisa o impacto da criação do telégrafo (surgido em 1837).
Uma nova tecnologia de comunicação permitia às pessoas se comunicarem quase que instantaneamente, estando à longa distância (...) Isto revolucionou o mundo dos negócios.(...) Romances floresceram sob impacto do telégrafo. Códigos secretos foram inventados por alguns usuários e desvendados por outros. (...) O governo e as leis tentaram controlar o novo meio e falharam. (...) Enquanto isto, pelos cabos, uma subcultura tecnológica com seus usos e vocabulário próprio se estabelecia.
Igual impacto teve a Internet. Antes do telégrafo, batizado de “a autoestrada do pensamento”, o ritmo de vida era superlento. As pessoas saíam para viajar de navio e não se ouviam notícias delas durante anos. Os países que quisessem saber se haviam ou não ganho determinada batalha esperavam meses pelos mensageiros, enviados no lombo dos cavalos. Neste mundo em que reinava a Rainha Vitória (1819-1901), o telégrafo provocou a maior revolução das comunicações desde o aparecimento da imprensa. A Internet não chegou a tanto. Mas nada encurta tanto distâncias como entrar num chat com alguém que esteja na Noruega, por exemplo. Se o telégrafo era “a autoestrada do pensamento”, talvez a rede possa ser a “superautoestrada”. Dos pensamentos e das abobrinhas. As tecnologias de conversação realmente mudam as conversas. Apesar de ser de fundamental utilidade para o trabalho e a pesquisa, o correio feito pela rede permite um tipo de conversa diferente daquela que ocorre por telefone. Talvez um dia, no futuro, pesquisadores analisem as razões pelas quais a rede, rápida e imediata e sem o vivo colorido identificador da voz, se presta a bate-papos (via e-mails, chats, comunicadores instantâneos) até mais informais do que os que fazemos por telefone. CAMARGO, Maria Sílvia. 24 dias por hora. Rio de Janeiro: Rocco, 2000. p. 135-137. Adaptado.
Provas
Questão presente nas seguintes provas
A CARTA AUTOMÁTICA
Mais de cem anos depois do surgimento do telefone, o começo dos anos 90 nos oferece um meio de comunicação que, para muitos, resgata um pouco do romantismo da carta. A Internet não usa papel colorido e perfumado, e sequer precisa de selos, mas, para muitos, fez voltar à moda o charme da comunicação por escrito. E, se o provedor não estiver com problemas, faz isso com o imediatismo do telefone. A rede também foi uma invenção que levou algum tempo para cair no gosto do público. Criada em 1993 para uso doméstico, há muito ela já era usada por cientistas universitários que queriam trocar informações. Mas, só após a difusão do computador doméstico, realizada efetivamente há uns quatro ou cinco anos, que o público pôde descobrir sua utilidade. Em The victorian internet, Tom Standage analisa o impacto da criação do telégrafo (surgido em 1837).
Uma nova tecnologia de comunicação permitia às pessoas se comunicarem quase que instantaneamente, estando à longa distância (...) Isto revolucionou o mundo dos negócios.(...) Romances floresceram sob impacto do telégrafo. Códigos secretos foram inventados por alguns usuários e desvendados por outros. (...) O governo e as leis tentaram controlar o novo meio e falharam. (...) Enquanto isto, pelos cabos, uma subcultura tecnológica com seus usos e vocabulário próprio se estabelecia.
Igual impacto teve a Internet. Antes do telégrafo, batizado de “a autoestrada do pensamento”, o ritmo de vida era superlento. As pessoas saíam para viajar de navio e não se ouviam notícias delas durante anos. Os países que quisessem saber se haviam ou não ganho determinada batalha esperavam meses pelos mensageiros, enviados no lombo dos cavalos. Neste mundo em que reinava a Rainha Vitória (1819-1901), o telégrafo provocou a maior revolução das comunicações desde o aparecimento da imprensa. A Internet não chegou a tanto. Mas nada encurta tanto distâncias como entrar num chat com alguém que esteja na Noruega, por exemplo. Se o telégrafo era “a autoestrada do pensamento”, talvez a rede possa ser a “superautoestrada”. Dos pensamentos e das abobrinhas. As tecnologias de conversação realmente mudam as conversas. Apesar de ser de fundamental utilidade para o trabalho e a pesquisa, o correio feito pela rede permite um tipo de conversa diferente daquela que ocorre por telefone. Talvez um dia, no futuro, pesquisadores analisem as razões pelas quais a rede, rápida e imediata e sem o vivo colorido identificador da voz, se presta a bate-papos (via e-mails, chats, comunicadores instantâneos) até mais informais do que os que fazemos por telefone. CAMARGO, Maria Sílvia. 24 dias por hora. Rio de Janeiro: Rocco, 2000. p. 135-137. Adaptado.
A sentença em que a expressão em negrito está usada de acordo com a norma-padrão é:Mais de cem anos depois do surgimento do telefone, o começo dos anos 90 nos oferece um meio de comunicação que, para muitos, resgata um pouco do romantismo da carta. A Internet não usa papel colorido e perfumado, e sequer precisa de selos, mas, para muitos, fez voltar à moda o charme da comunicação por escrito. E, se o provedor não estiver com problemas, faz isso com o imediatismo do telefone. A rede também foi uma invenção que levou algum tempo para cair no gosto do público. Criada em 1993 para uso doméstico, há muito ela já era usada por cientistas universitários que queriam trocar informações. Mas, só após a difusão do computador doméstico, realizada efetivamente há uns quatro ou cinco anos, que o público pôde descobrir sua utilidade. Em The victorian internet, Tom Standage analisa o impacto da criação do telégrafo (surgido em 1837).
Uma nova tecnologia de comunicação permitia às pessoas se comunicarem quase que instantaneamente, estando à longa distância (...) Isto revolucionou o mundo dos negócios.(...) Romances floresceram sob impacto do telégrafo. Códigos secretos foram inventados por alguns usuários e desvendados por outros. (...) O governo e as leis tentaram controlar o novo meio e falharam. (...) Enquanto isto, pelos cabos, uma subcultura tecnológica com seus usos e vocabulário próprio se estabelecia.
Igual impacto teve a Internet. Antes do telégrafo, batizado de “a autoestrada do pensamento”, o ritmo de vida era superlento. As pessoas saíam para viajar de navio e não se ouviam notícias delas durante anos. Os países que quisessem saber se haviam ou não ganho determinada batalha esperavam meses pelos mensageiros, enviados no lombo dos cavalos. Neste mundo em que reinava a Rainha Vitória (1819-1901), o telégrafo provocou a maior revolução das comunicações desde o aparecimento da imprensa. A Internet não chegou a tanto. Mas nada encurta tanto distâncias como entrar num chat com alguém que esteja na Noruega, por exemplo. Se o telégrafo era “a autoestrada do pensamento”, talvez a rede possa ser a “superautoestrada”. Dos pensamentos e das abobrinhas. As tecnologias de conversação realmente mudam as conversas. Apesar de ser de fundamental utilidade para o trabalho e a pesquisa, o correio feito pela rede permite um tipo de conversa diferente daquela que ocorre por telefone. Talvez um dia, no futuro, pesquisadores analisem as razões pelas quais a rede, rápida e imediata e sem o vivo colorido identificador da voz, se presta a bate-papos (via e-mails, chats, comunicadores instantâneos) até mais informais do que os que fazemos por telefone. CAMARGO, Maria Sílvia. 24 dias por hora. Rio de Janeiro: Rocco, 2000. p. 135-137. Adaptado.
Provas
Questão presente nas seguintes provas
Um pouco de silêncio
Nesta trepidante cultura nossa, da agitação e do barulho, gostar de sossego é uma excentricidade.
Sob a pressão do ter de parecer, ter de participar, ter de adquirir, ter de qualquer coisa, assumimos uma infinidade de obrigações. Muitas desnecessárias, outras impossíveis, algumas que não combinam conosco nem nos interessam.
Não há perdão nem anistia para os que ficam de fora da ciranda: os que não se submetem mas questionam, os que pagam o preço de sua relativa autonomia, os que não se deixam escravizar, pelo menos sem alguma resistência.
O normal é ser atualizado, produtivo e bem-informado. É indispensável circular, estar enturmado. Quem não corre com a manada praticamente nem existe, se não se cuidar botam numa jaula: um animal estranho.
Acuados pelo relógio, pelos compromissos, pela opinião alheia, disparamos sem rumo – ou em trilhas determinadas – feito hamsters que se alimentam de sua própria agitação.
Ficar sossegado é perigoso: pode parecer doença. Recolher-se em casa, ou dentro de si mesmo, ameaça quem leva um susto cada vez que examina sua alma.
Estar sozinho é considerado humilhante, sinal de que não se arrumou ninguém – como se amizade ou amor se “arrumasse" em loja. [...]
Além do desgosto pela solidão, temos horror à quietude. Logo pensamos em depressão: quem sabe terapia e antidepressivo? Criança que não brinca ou salta nem participa de atividades frenéticas está com algum problema.
O silêncio nos assusta por retumbar no vazio dentro de nós. Quando nada se move nem faz barulho, notamos as frestas pelas quais nos espiam coisas incômodas e mal resolvidas, ou se enxerga outro ângulo de nós mesmos. Nos damos conta de que não somos apenas figurinhas atarantadas correndo entre casa, trabalho e bar, praia ou campo.
Existe em nós, geralmente nem percebido e nada valorizado, algo além desse que paga contas, transa, ganha dinheiro, e come, envelhece, e um dia (mas isso é só para os outros!) vai morrer. Quem é esse que afinal sou eu? Quais seus desejos e medos, seus projetos e sonhos?
No susto que essa ideia provoca, queremos ruí- do, ruídos. Chegamos em casa e ligamos a televisão antes de largar a bolsa ou pasta. Não é para assistir a um programa: é pela distração.
Silêncio faz pensar, remexe águas paradas, trazendo à tona sabe Deus que desconcerto nosso. Com medo de ver quem – ou o que – somos, adia-se o defrontamento com nossa alma sem máscaras.
Mas, se a gente aprende a gostar um pouco de sossego, descobre – em si e no outro – regiões nem imaginadas, questões fascinantes e não necessariamente ruins.
Nunca esqueci a experiência de quando alguém botou a mão no meu ombro de criança e disse: — Fica quietinha, um momento só, escuta a chuva chegando.
E ela chegou: intensa e lenta, tornando tudo singularmente novo. A quietude pode ser como essa chuva: nela a gente se refaz para voltar mais inteiro ao convívio, às tantas fases, às tarefas, aos amores.
Então, por favor, me deem isso: um pouco de silêncio bom para que eu escute o vento nas folhas, a chuva nas lajes, e tudo o que fala muito além das palavras de todos os textos e da música de todos os sentimentos. LUFT, Lya. Pensar é transgredir. Rio de Janeiro: Record, 2004. p. 41. Adaptado.
No trecho “ou se enxerga outro ângulo de nós mesmos." (L. 37-38), o sentido da palavra
mesmo equivale àquele usado em:Nesta trepidante cultura nossa, da agitação e do barulho, gostar de sossego é uma excentricidade.
Sob a pressão do ter de parecer, ter de participar, ter de adquirir, ter de qualquer coisa, assumimos uma infinidade de obrigações. Muitas desnecessárias, outras impossíveis, algumas que não combinam conosco nem nos interessam.
Não há perdão nem anistia para os que ficam de fora da ciranda: os que não se submetem mas questionam, os que pagam o preço de sua relativa autonomia, os que não se deixam escravizar, pelo menos sem alguma resistência.
O normal é ser atualizado, produtivo e bem-informado. É indispensável circular, estar enturmado. Quem não corre com a manada praticamente nem existe, se não se cuidar botam numa jaula: um animal estranho.
Acuados pelo relógio, pelos compromissos, pela opinião alheia, disparamos sem rumo – ou em trilhas determinadas – feito hamsters que se alimentam de sua própria agitação.
Ficar sossegado é perigoso: pode parecer doença. Recolher-se em casa, ou dentro de si mesmo, ameaça quem leva um susto cada vez que examina sua alma.
Estar sozinho é considerado humilhante, sinal de que não se arrumou ninguém – como se amizade ou amor se “arrumasse" em loja. [...]
Além do desgosto pela solidão, temos horror à quietude. Logo pensamos em depressão: quem sabe terapia e antidepressivo? Criança que não brinca ou salta nem participa de atividades frenéticas está com algum problema.
O silêncio nos assusta por retumbar no vazio dentro de nós. Quando nada se move nem faz barulho, notamos as frestas pelas quais nos espiam coisas incômodas e mal resolvidas, ou se enxerga outro ângulo de nós mesmos. Nos damos conta de que não somos apenas figurinhas atarantadas correndo entre casa, trabalho e bar, praia ou campo.
Existe em nós, geralmente nem percebido e nada valorizado, algo além desse que paga contas, transa, ganha dinheiro, e come, envelhece, e um dia (mas isso é só para os outros!) vai morrer. Quem é esse que afinal sou eu? Quais seus desejos e medos, seus projetos e sonhos?
No susto que essa ideia provoca, queremos ruí- do, ruídos. Chegamos em casa e ligamos a televisão antes de largar a bolsa ou pasta. Não é para assistir a um programa: é pela distração.
Silêncio faz pensar, remexe águas paradas, trazendo à tona sabe Deus que desconcerto nosso. Com medo de ver quem – ou o que – somos, adia-se o defrontamento com nossa alma sem máscaras.
Mas, se a gente aprende a gostar um pouco de sossego, descobre – em si e no outro – regiões nem imaginadas, questões fascinantes e não necessariamente ruins.
Nunca esqueci a experiência de quando alguém botou a mão no meu ombro de criança e disse: — Fica quietinha, um momento só, escuta a chuva chegando.
E ela chegou: intensa e lenta, tornando tudo singularmente novo. A quietude pode ser como essa chuva: nela a gente se refaz para voltar mais inteiro ao convívio, às tantas fases, às tarefas, aos amores.
Então, por favor, me deem isso: um pouco de silêncio bom para que eu escute o vento nas folhas, a chuva nas lajes, e tudo o que fala muito além das palavras de todos os textos e da música de todos os sentimentos. LUFT, Lya. Pensar é transgredir. Rio de Janeiro: Record, 2004. p. 41. Adaptado.
Provas
Questão presente nas seguintes provas
Cadernos
Caderno Container